Skip to Content
Merck
CN

902438

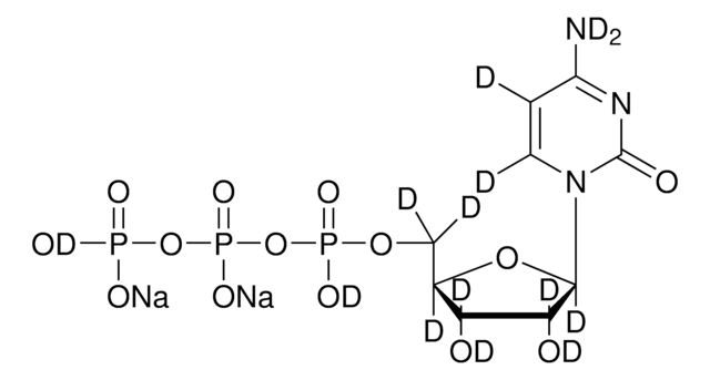
Cytidine-d14 5′-triphosphate disodium salt solution

100 mM (in 5mM Tris / D2O), ≥98 atom % D, ≥95% (CP)

Sign In to View Organizational & Contract Pricing.

Select a Size


About This Item

Empirical Formula (Hill Notation):
C9D14N3Na2O14P3
Molecular Weight:
541.21
UNSPSC Code:
41106305
NACRES:
NA.12
Isotopic purity:
≥98 atom % D
Assay:
≥95% (CP)
Mass shift:
M+14
Form:
solution
Technical Service
Need help? Our team of experienced scientists is here for you.
Let Us Assist
Technical Service
Need help? Our team of experienced scientists is here for you.
Let Us Assist

SMILES string

O=C1N=C(C([2H])=C([2H])N1[C@@](O[C@]2([2H])C([2H])([2H])OP(OP(OP(O[Na])([2H]=O)=O)(O[Na])=O)(O[2H])=O)([2H])[C@]([C@]2([2H])O[2H])([2H])O[2H])N([2H])[2H]

isotopic purity

≥98 atom % D

assay

≥95% (CP)

form

solution

concentration

100 mM (in 5mM Tris / D2O)

technique(s)

bio NMR: suitable

mass shift

M+14

storage temp.

−20°C

Quality Level

Related Categories

Packaging

This product may be available from bulk stock and can be packaged on demand. For information on pricing, availability and packaging, please contact Stable Isotopes Customer Service.

Storage Class

12 - Non Combustible Liquids

wgk

WGK 3

flash_point_f

Not applicable

flash_point_c

Not applicable

Regulatory Information

新产品
This item has

Choose from one of the most recent versions:

Certificates of Analysis (COA)

Lot/Batch Number

Don't see the Right Version?

If you require a particular version, you can look up a specific certificate by the Lot or Batch number.

Already Own This Product?

Find documentation for the products that you have recently purchased in the Document Library.

Visit the Document Library

Our team of scientists has experience in all areas of research including Life Science, Material Science, Chemical Synthesis, Chromatography, Analytical and many others.

Contact Technical Service