Skip to Content
Merck
CN

QBD10492

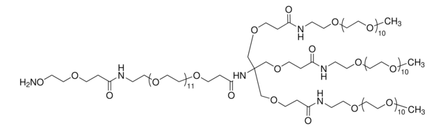
Aminooxy-dPEG®12-amido-dPEG®12-(m-dPEG®11)3

Sign In to View Organizational & Contract Pricing.

Select a Size


About This Item

Empirical Formula (Hill Notation):
C136H270N6O66
Molecular Weight:
3045.60
UNSPSC Code:
51171641
PubChem Substance ID:
NACRES:
NA.22
Technical Service
Need help? Our team of experienced scientists is here for you.
Let Us Assist
Technical Service
Need help? Our team of experienced scientists is here for you.
Let Us Assist

InChI key

XSNZUIBRYKKHCJ-UHFFFAOYSA-N

SMILES string

O=C(NC(COCCC(NCCOCCOCCOCCOCCOCCOCCOCCOCCOCCOCCOC)=O)(COCCC(NCCOCCOCCOCCOCCOCCOCCOCCOCCOCCOCCOC)=O)COCCC(NCCOCCOCCOCCOCCOCCOCCOCCOCCOCCOCCOC)=O)CCOCCOCCOCCOCCOCCOCCOCCOCCOCCOCCOCCOCCNC(CCOCCON)=O

assay

>90%

form

solid or viscous liquid

reaction suitability

reagent type: chemical modification reagent, reagent type: cross-linking reagent
reactivity: carbonyl reactive

polymer architecture

shape: branched
functionality: homofunctional

shipped in

ambient

storage temp.

−20°C

Features and Benefits

Aminooxy-dPEG®12-amido-dPEG®12-(m-dPEG®11)3 is a branched dPEG® reagent that is highly useful for protein and peptide modification to increase hydrodynamic volume and serum half-life and to greatly reduce the immunogenicity of the modified peptide or protein. This dPEG® product consists of a linear "tail" with a reactive group, a tris core to provide branching, and methoxy-terminated dPEG® branches. The numbers following dPEG® are the exact number of repeat units in the linear chain. This dPEG® product is hydrophilic, non-immunogenic, single molecular weight compound. The aminooxy functional group reacts with aldehydes and ketones to form oxime bonds.

Legal Information

Products Protected under U.S. Patents # 7,888,536 B2
dPEG is a registered trademark of Quanta BioDesign

Storage Class

11 - Combustible Solids

wgk

WGK 3

flash_point_f

Not applicable

flash_point_c

Not applicable

Regulatory Information

新产品
This item has

Choose from one of the most recent versions:

Certificates of Analysis (COA)

Lot/Batch Number

It looks like we've run into a problem, but you can still download Certificates of Analysis from our Documents section.

If you need assistance, please contact Customer Support

Already Own This Product?

Find documentation for the products that you have recently purchased in the Document Library.

Visit the Document Library

Our team of scientists has experience in all areas of research including Life Science, Material Science, Chemical Synthesis, Chromatography, Analytical and many others.

Contact Technical Service