Skip to Content
Merck
CN

330733P

Avanti

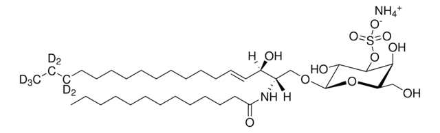
C13 3-O-sulfogalactostyl(β) Ceramide-d7 (d18:1(d7)/13:0)

Avanti Research - A Croda Brand

Synonym(s):

3-O-sulfo-D-galactosyl-β1-1′-N-tridecanoyl-D-erythro-sphingosine (d7) (ammonium salt)

Sign In to View Organizational & Contract Pricing.

Select a Size


About This Item

Empirical Formula (Hill Notation):
C37H67D7N2O11S
CAS Number:
Molecular Weight:
762.10
MDL number:
UNSPSC Code:
12352211
NACRES:
NA.28
Assay:
99% (TLC)
Form:
powder
Technical Service
Need help? Our team of experienced scientists is here for you.
Let Us Assist
Technical Service
Need help? Our team of experienced scientists is here for you.
Let Us Assist

SMILES string

[H][C@](/C=C/CCCCCCCCCCC([2H])([2H])C([2H])([2H])C([2H])([2H])[2H])(O)[C@@]([H])(NC(CCCCCCCCCCCC)=O)CO[C@H](O1)[C@H](O)[C@@H](OS([O-])(=O)=O)[C@H]([C@H]1CO)O.[NH4+]

assay

99% (TLC)

form

powder

packaging

pkg of 1 × 1 mg (330733P-1MG)

manufacturer/tradename

Avanti Research - A Croda Brand

shipped in

dry ice

storage temp.

−20°C

General description

C13 3-O-sulfogalactostyl(β) Ceramide-d7 (d18:1(d7)/13:0) is a deuterated derivative of C13 3-O-sulfogalactostyl(β) ceramide.

Packaging

5 mL Amber Glass Screw Cap Vial

Legal Information

Avanti Research is a trademark of Avanti Polar Lipids, LLC

Storage Class

11 - Combustible Solids

wgk

WGK 3

flash_point_f

Not applicable

flash_point_c

Not applicable

Regulatory Information

新产品
This item has

Choose from one of the most recent versions:

Certificates of Analysis (COA)

Lot/Batch Number

It looks like we've run into a problem, but you can still download Certificates of Analysis from our Documents section.

If you need assistance, please contact Customer Support

Already Own This Product?

Find documentation for the products that you have recently purchased in the Document Library.

Visit the Document Library

Our team of scientists has experience in all areas of research including Life Science, Material Science, Chemical Synthesis, Chromatography, Analytical and many others.

Contact Technical Service