Skip to Content
Merck
CN

900422P

Avanti

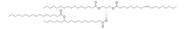
16:0-(12-PAHSA)-18:1 TG

Avanti Research - A Croda Brand

Synonym(s):

1-Palmitoyl-2-[12′-(palmitoyloxy)octadecanoyl]-3-oleoyl-sn-glycerol

Sign In to View Organizational & Contract Pricing.

Select a Size


About This Item

Empirical Formula (Hill Notation):
C71H134O8
CAS Number:
Molecular Weight:
1115.82
UNSPSC Code:
12352211
NACRES:
NA.25
Technical Service
Need help? Our team of experienced scientists is here for you.
Let Us Assist
Technical Service
Need help? Our team of experienced scientists is here for you.
Let Us Assist

InChI

1S/C71H134O8/c1-5-9-13-17-20-23-26-29-30-33-35-38-44-49-55-61-69(73)77-65-67(64-76-68(72)60-54-48-43-37-34-31-27-24-21-18-14-10-6-2)79-71(75)63-57-51-46-41-40-42-47-53-59-66(58-52-16-12-8-4)78-70(74)62-56-50-45-39-36-32-28-25-22-19-15-11-7-3/h29-30,66-67H

InChI key

FHNCLOCRTUMMBI-PESWWIRASA-N

SMILES string

CCCCCCC(OC(CCCCCCCCCCCCCCC)=O)CCCCCCCCCCC(O[C@@H](COC(CCCCCCC/C=C\CCCCCCCC)=O)COC(CCCCCCCCCCCCCCC)=O)=O

assay

>99% (TLC)

form

powder

packaging

package of 1 × 5 mg

manufacturer/tradename

Avanti Research - A Croda Brand

lipid type

neutral lipids
neutral glycerides

shipped in

dry ice

storage temp.

−20°C

Packaging

5 mL Amber Glass Screw Cap Vial (900422P-5MG)

Legal Information

Avanti Research is a trademark of Avanti Polar Lipids, LLC

Storage Class

11 - Combustible Solids

wgk

WGK 3

flash_point_f

Not applicable

flash_point_c

Not applicable


Choose from one of the most recent versions:

Certificates of Analysis (COA)

Lot/Batch Number

It looks like we've run into a problem, but you can still download Certificates of Analysis from our Documents section.

If you need assistance, please contact Customer Support

Already Own This Product?

Find documentation for the products that you have recently purchased in the Document Library.

Visit the Document Library

Our team of scientists has experience in all areas of research including Life Science, Material Science, Chemical Synthesis, Chromatography, Analytical and many others.

Contact Technical Service