Skip to Content
Merck
CN

92586

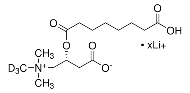
Suberoyl-L-carnitine-(N-methyl-d3) lithium salt

analytical standard

Sign In to View Organizational & Contract Pricing.

Select a Size


About This Item

Empirical Formula (Hill Notation):
C15D3H24NO6 · xLi+
CAS Number:
Molecular Weight:
320.40 (free acid basis)
UNSPSC Code:
41116107
NACRES:
NA.24
Technical Service
Need help? Our team of experienced scientists is here for you.
Let Us Assist
Technical Service
Need help? Our team of experienced scientists is here for you.
Let Us Assist

InChI

1S/C15H27NO6/c1-16(2,3)11-12(10-14(19)20)22-15(21)9-7-5-4-6-8-13(17)18/h12H,4-11H2,1-3H3,(H-,17,18,19,20)/t12-/m1/s1/i1D3

InChI key

YVWVEIPYMGBQPE-LBBMYNEISA-N

SMILES string

C[N+](C[C@H](OC(CCCCCCC(O)=O)=O)CC([O-])=O)(C)C([2H])([2H])[2H]

grade

analytical standard

assay

≥95.0% (HPLC)

form

solid

optical activity

[α]/D -17.0±2.0°, c = 0.1 in H2O

shelf life

limited shelf life, expiry date on the label

extent of labeling

≥99.0%

application(s)

clinical testing

storage temp.

−20°C

Quality Level

Storage Class

11 - Combustible Solids

wgk

WGK 3

flash_point_f

Not applicable

flash_point_c

Not applicable


Choose from one of the most recent versions:

Certificates of Analysis (COA)

Lot/Batch Number

Don't see the Right Version?

If you require a particular version, you can look up a specific certificate by the Lot or Batch number.

Already Own This Product?

Find documentation for the products that you have recently purchased in the Document Library.

Visit the Document Library

Our team of scientists has experience in all areas of research including Life Science, Material Science, Chemical Synthesis, Chromatography, Analytical and many others.

Contact Technical Service