应用筛选条件
关键词:'mfcd00144625'
产品分类
品牌
物质形态
纯度
质量水平
技术
mfcd00144625
显示 1-2 #N/A 2 条结果 关于 "mfcd00144625" 范围 产品
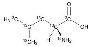
别名: (S)-2-Amino-4-methylpentanoic acid-13C6,15N, 13C and 15N Labeled L-leucine, SILAC Amino Acid, L-Leucine-ul-13C,15N
化学文摘社编号:
isotopic purity:
98 atom % 13C, 98 atom % 15N
assay:
95% (CP)
别名: L-Leucine-ul-13C,15N
化学文摘社编号:
isotopic purity:
98 atom % 13C, 98 atom % 15N
assay:
99% chiral purity basis
1/1
