Skip to Content
Merck
CN

761192

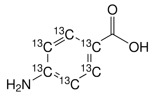
4-Aminobenzoic acid-(phenyl-13C6)

≥99% 13C, ≥99% (CP)

Sign In to View Organizational & Contract Pricing.

About This Item

Empirical Formula (Hill Notation):
13C6CH7NO2
Molecular Weight:
143.09
UNSPSC Code:
12352005
PubChem Substance ID:
MDL number:
Isotopic purity:
≥99% 13C
Assay:
≥99% (CP)
Mass shift:
M+6
Form:
solid
Technical Service
Need help? Our team of experienced scientists is here for you.
Let Us Assist

InChI

1S/C7H7NO2/c8-6-3-1-5(2-4-6)7(9)10/h1-4H,8H2,(H,9,10)/i1+1,2+1,3+1,4+1,5+1,6+1

SMILES string

OC([13C]1=[13CH][13CH]=[13C](N)[13CH]=[13CH]1)=O

InChI key

ALYNCZNDIQEVRV-IDEBNGHGSA-N

isotopic purity

≥99% 13C

assay

≥99% (CP)

form

solid

mass shift

M+6

Related Categories

Packaging

This product may be available from bulk stock and can be packaged on demand. For information on pricing, availability and packaging, please contact Stable Isotopes Customer Service.

hcodes

Hazard Classifications

Aquatic Chronic 3

Storage Class

11 - Combustible Solids

wgk

WGK 2

flash_point_f

339.8 °F - closed cup

flash_point_c

171 °C - closed cup


Choose from one of the most recent versions:

Certificates of Analysis (COA)

Lot/Batch Number

Don't see the Right Version?

If you require a particular version, you can look up a specific certificate by the Lot or Batch number.

Already Own This Product?

Find documentation for the products that you have recently purchased in the Document Library.

Visit the Document Library

Our team of scientists has experience in all areas of research including Life Science, Material Science, Chemical Synthesis, Chromatography, Analytical and many others.

Contact Technical Service