Skip to Content
Merck
CN

790265

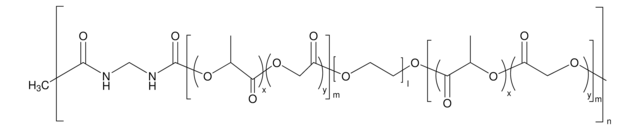
Poly(D,L-lactide-co-glycolide)-block-poly(ethylene glycol)-block-poly(D,L-lactide-co-glycolide) based poly(ether ester urethane)

average Mn (8,000-20,000)

Synonym(s):

PEEU, PLGA-PEG-PLGA urethane, VISCOPRENE® 2, poly(ester ether urethane)

Sign In to View Organizational & Contract Pricing.

Select a Size


About This Item

Linear Formula:
[C2H2N2O2R[(C3H4O2)x(C2H2O2)y]m[C2H4O]lO[(C3H4O2)x(C2H2O2)y]m]n
UNSPSC Code:
12352100
Technical Service
Need help? Our team of experienced scientists is here for you.
Let Us Assist
Technical Service
Need help? Our team of experienced scientists is here for you.
Let Us Assist

SMILES string

CC(N[R]NC(OC(C)C(OCC(OCCOC(C(C)OC(COC)=O)=O)=O)=O)=O)=O.CC(N[R]NC(OCCCOC)=O)=O

form

liquid (or solid)

feed ratio

19:(65:16) (PEG:(DL-Lactide:Glycolide)), lactide:glycolide 80:20

mol wt

PEG average Mn 400, average Mn (8,000-20,000)

transition temp

Tg <0 °C

PDI

<2.25

storage temp.

2-8°C

Looking for similar products? Visit Product Comparison Guide

Legal Information

Product of Poly-Med, Inc. VISCOPRENE® is a registered trademark of Poly-Med, Inc.
Viscoprene is a registered trademark of Poly-Med, Inc.

Storage Class

11 - Combustible Solids

wgk

WGK 3

flash_point_f

Not applicable

flash_point_c

Not applicable

Regulatory Information

新产品
This item has

Choose from one of the most recent versions:

Certificates of Analysis (COA)

Lot/Batch Number

Don't see the Right Version?

If you require a particular version, you can look up a specific certificate by the Lot or Batch number.

Already Own This Product?

Find documentation for the products that you have recently purchased in the Document Library.

Visit the Document Library

Our team of scientists has experience in all areas of research including Life Science, Material Science, Chemical Synthesis, Chromatography, Analytical and many others.

Contact Technical Service