Skip to Content
Merck
CN

901743

Poly(OEGMA)

aldehyde functionalized, 25 wt% solution in water

Synonym(s):

PEGMA, POEGMA

Sign In to View Organizational & Contract Pricing.

Select a Size


About This Item

Linear Formula:
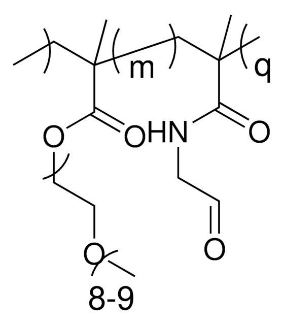
[CH2CCH3(COO(CH2CH2O)8CH3)]m[CH2CCH3(CONHCH2COH)]q
NACRES:
NA.23
UNSPSC Code:
12162002
Technical Service
Need help? Our team of experienced scientists is here for you.
Let Us Assist
Technical Service
Need help? Our team of experienced scientists is here for you.
Let Us Assist

form

solution

mol wt

~20,000 g/mol

color

clear colorless to pale yellow

storage temp.

2-8°C

Looking for similar products? Visit Product Comparison Guide

General description

Poly(oligoethylene glycol methacrylate) (POEGMA), is a comb-shaped, graft copolymer consisting of hydrophilic oligomer PEG chains grafted to a hydrophobic polymethacrylate backbone. POEGMA has been suggested as a viable alternative to poly(ethylene glycol) (PEG) in biological and biomaterial applications. POEGMA has been reported to improve pharmacokinetic properties of protein and peptide conjugates, enhance the stability and gene silencing efficiency of siRNAs, as an anti-fouling surface for biosensors, and eliminate PEG antigenicity. In addition to use in biomolecule-polymer conjugates, PEOGMA has also seen wide spread use in tissue engineering applications, such as hydrogel synthesis. Aldehyde-functionalized POEGMA can be readily used with the corresponding hydrazide-functionalized POEGMA for rapid gelation via reversible hydrazone bond formation. Due to the reversibility of the bond formation and the low viscosity of the precursors, resulting hydrogels can be used as injectable tissue engineering matrices, local drug delivery vehicles for small molecules, or as joint lubricants. In addition, the physical properties of the resulting hydrogels, such as LCST, gelation rates, swelling kinetics, degredation kinetics, and mechanical properties, can all be readily controlled by solution concentration and the ratios of each solution.

Preparation Note

This product is provided as a 25 wt% solution in water, ready to be diluted for your specific application. Please see the technical bulletin on the product page for dilution and hydrogel preparation instructions.

Storage Class

10 - Combustible liquids

wgk

WGK 3

flash_point_f

Not applicable

flash_point_c

Not applicable


Choose from one of the most recent versions:

Certificates of Analysis (COA)

Lot/Batch Number

Don't see the Right Version?

If you require a particular version, you can look up a specific certificate by the Lot or Batch number.

Already Own This Product?

Find documentation for the products that you have recently purchased in the Document Library.

Visit the Document Library

A brush-polymer/exendin-4 conjugate reduces blood glucose levels for up to five days and eliminates poly(ethylene glycol) antigenicity.
Qi Y, et al.
Nature Biomedical Engineering, 1, 2-2 (2016)
Injectable hydrogels based on poly(ethylene glycol) and derivatives as functional biomaterials.
Bakaic E, et al.
Royal Society of Chemistry Advances, 5, 35469-35486 (2015)
?Off-the-shelf? thermoresponsive hydrogel design: tuning hydrogel properties by mixing precursor polymers with different lower-critical solution temperatures.
Bakaic E, et al.
Royal Society of Chemistry Advances, 5, 33364-33376 (2015)
A. brush-polymer/exendin-4 conjugate reduces blood glucose levels for up to five days and eliminates poly(ethylene glycol) antigenicity.
Qi Y, et al.
Nmr in Biomedicine, 1, 0002-0002 (2016)
Niels M B Smeets et al.
Chemical communications (Cambridge, England), 50(25), 3306-3309 (2014-02-18)
Injectable PEG-analogue hydrogels based on poly(oligoethylene glycol methacrylate) have been developed based on complementary hydrazide and aldehyde reactive linear polymer precursors. These hydrogels display the desired biological properties of PEG, form covalent networks in situ following injection, and are easily

Our team of scientists has experience in all areas of research including Life Science, Material Science, Chemical Synthesis, Chromatography, Analytical and many others.

Contact Technical Service