Sign In to View Organizational & Contract Pricing.
Select a Size
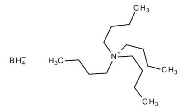
About This Item
Empirical Formula (Hill Notation):
C16H40BN
CAS Number:
Molecular Weight:
257.31
EC Index Number:
251-658-2
UNSPSC Code:
12352107
MDL number:
Form:
crystals
reaction suitability
reagent type: reductant
mp
124-129 °C
transition temp
flash point 140 °C
storage temp.
2-30°C
InChI
1S/C16H36N.BH4/c1-5-9-13-17(14-10-6-2,15-11-7-3)16-12-8-4;/h5-16H2,1-4H3;1H4/q+1;-1
InChI key
GMBOFJFPOCGSOI-UHFFFAOYSA-N
form
crystals
Related Categories
Analysis Note
Assay (hypochlorite): ≥ 97.0 %
Identity (IR): passes test
Identity (IR): passes test
signalword
Danger
Hazard Classifications
Skin Corr. 1B - Water-react. 2
wgk
WGK 3
hcodes
Storage Class
4.3 - Hazardous materials which set free flammable gases upon contact with water
Certificates of Analysis (COA)
Search for Certificates of Analysis (COA) by entering the products Lot/Batch Number. Lot and Batch Numbers can be found on a product’s label following the words ‘Lot’ or ‘Batch’.
Already Own This Product?
Find documentation for the products that you have recently purchased in the Document Library.
Our team of scientists has experience in all areas of research including Life Science, Material Science, Chemical Synthesis, Chromatography, Analytical and many others.
Contact Technical Service
