Skip to Content
Merck
CN

76473

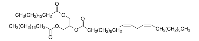
1,3-Dipalmitoyl-2-linoleoylglycerol

analytical standard

Synonym(s):

1,3-Dipalmito-2-linolein, 2-Linoleoyl-1,3-dipalmitin, 2-Linoleoyl-1,3-dipalmitoylglycerol, PLP Triacylglycerol, TG(16:0/18:2(9Z,12Z)/16:0)

Sign In to View Organizational & Contract Pricing.

Select a Size

Change View

About This Item

Empirical Formula (Hill Notation):
C53H98O6
CAS Number:
Molecular Weight:
831.34
NACRES:
NA.24
PubChem Substance ID:
UNSPSC Code:
85151701
MDL number:
Technical Service
Need help? Our team of experienced scientists is here for you.
Let Us Assist

grade

analytical standard

Quality Level

assay

≥99.0% (GC)

shelf life

limited shelf life, expiry date on the label

technique(s)

HPLC: suitable, gas chromatography (GC): suitable

application(s)

food and beverages

format

neat

functional group

ester

storage temp.

−20°C

SMILES string

O=C(CCCCCCCCCCCCCCC)OCC(COC(CCCCCCCCCCCCCCC)=O)OC(CCCCCCC/C=C\C/C=C\CCCCC)=O

InChI

1S/C53H98O6/c1-4-7-10-13-16-19-22-25-26-29-32-35-38-41-44-47-53(56)59-50(48-57-51(54)45-42-39-36-33-30-27-23-20-17-14-11-8-5-2)49-58-52(55)46-43-40-37-34-31-28-24-21-18-15-12-9-6-3/h16,19,25-26,50H,4-15,17-18,20-24,27-49H2,1-3H3/b19-16-,26-25-

InChI key

HTGAUBMLVQRATC-DHSNEXAOSA-N

Application

Refer to the product′s Certificate of Analysis for more information on a suitable instrument technique. Contact Technical Service for further support.

Storage Class

11 - Combustible Solids

wgk

WGK 3

flash_point_f

Not applicable

flash_point_c

Not applicable


Choose from one of the most recent versions:

Certificates of Analysis (COA)

Lot/Batch Number

Don't see the Right Version?

If you require a particular version, you can look up a specific certificate by the Lot or Batch number.

Already Own This Product?

Find documentation for the products that you have recently purchased in the Document Library.

Visit the Document Library

Global Trade Item Number

SKUGTIN
76473-10MG04061832923109

Our team of scientists has experience in all areas of research including Life Science, Material Science, Chemical Synthesis, Chromatography, Analytical and many others.

Contact Technical Service