Skip to Content
Merck
CN

92145

D-Panose

analytical standard

Synonym(s):

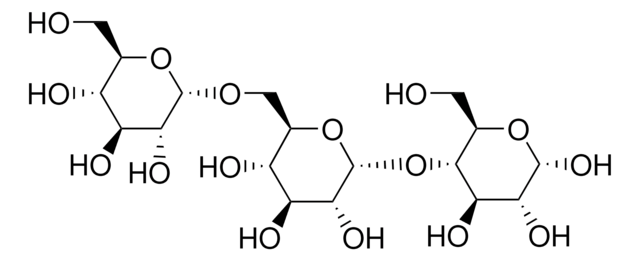
α-D-Glc-(1→6)-α-D-Glc-(1→4)-D-Glc, O-α-D-Glucopyranosyl-(1→6)-O-α-D-glucopyranosyl-(1→4)-D-glucose

Sign In to View Organizational & Contract Pricing.

Select a Size


About This Item

Empirical Formula (Hill Notation):
C18H32O16
CAS Number:
Molecular Weight:
504.44
EC Number:
251-500-2
UNSPSC Code:
41116107
NACRES:
NA.24
Beilstein/REAXYS Number:
100481
MDL number:
Technical Service
Need help? Our team of experienced scientists is here for you.
Let Us Assist
Technical Service
Need help? Our team of experienced scientists is here for you.
Let Us Assist

Product Name

D-Panose, analytical standard

InChI

1S/C18H32O16/c19-1-4-7(21)9(23)13(27)17(32-4)30-3-6-8(22)10(24)14(28)18(33-6)34-15-5(2-20)31-16(29)12(26)11(15)25/h4-29H,1-3H2/t4-,5-,6-,7-,8-,9+,10+,11-,12-,13-,14-,15-,16+,17+,18-/m1/s1

InChI key

OWEGMIWEEQEYGQ-QNHQVNOCSA-N

SMILES string

OC[C@H]1O[C@H](OC[C@H]2O[C@H](O[C@H]3[C@H](O)[C@@H](O)[C@@H](O)O[C@@H]3CO)[C@H](O)[C@@H](O)[C@@H]2O)[C@H](O)[C@@H](O)[C@@H]1O

grade

analytical standard

assay

≥97% (HPLC)

optical activity

[α]/D 153±8°, 3 hr, c = 0.8 in H2O

shelf life

limited shelf life, expiry date on the label

application(s)

food and beverages

format

neat

Quality Level

Looking for similar products? Visit Product Comparison Guide

Application

D-Panose may be used as an analytical standard in the following:     
  • analysis of the analyte in spiked aqueous samples using magnesium oxide nanoparticles (MgO-NPs) as a matrix followed by surface-assisted laser desorption-ionization time-of-flight mass spectrometry (SALDI-MS). This technique can be further applied for the analysis of the analyte in the low-mass region
  • determination of the analyte in Chinese rice wine using Fourier transform mid-infrared spectroscopy (FT-MIR)
  • determination of the analyte in adulterated commercial sweet sorghum syrup using ion chromatography with integrated pulsed amperometric detection (IC-IPAD)- sodium hydroxide (NaOH)/sodium acetate (NaOAc) gradient method

General description

D-Panose belongs to the class of oligosaccharides, found to be mildly sweet. It is composed of 1–4 and 1–6 linkages in its structure. Its potential as a prebiotic candidate in pure culture and colon simulator utilizing the complex fecal microbiota is investigated. It is reported as a component present in Chinese rice wine, and also exists as an important bioactive constituent of various types of honey.

Storage Class

11 - Combustible Solids

wgk

WGK 3

flash_point_f

Not applicable

flash_point_c

Not applicable

Regulatory Information

涉药品监管产品
This item has

Choose from one of the most recent versions:

Certificates of Analysis (COA)

Lot/Batch Number

Don't see the Right Version?

If you require a particular version, you can look up a specific certificate by the Lot or Batch number.

Already Own This Product?

Find documentation for the products that you have recently purchased in the Document Library.

Visit the Document Library

Prediction of sugars and acids in Chinese rice wine by mid-infrared spectroscopy
Shen F, et al.
Food Research International, 44(5), 1521-1527 (2011)
Surface-assisted laser desorption-ionization mass spectrometry of oligosaccharides using magnesium,oxide nanoparticles as a matrix
Kailasa KS and Wu F-H
Microchimica Acta, 180, 405-413 (2013)
Oligosaccharides Isolated from MGO? Manuka Honey Inhibit the Adhesion of Pseudomonas aeruginosa, Escherichia Coli O157: H7 and Staphylococcus Aureus to Human HT-29 cells
Lane AJ, et al.
Foods (Basel, Switzerland), 8(10), 446-446 (2019)
Screening bioactivity and bioactive constituents of Nordic unifloral honeys
Salonen A, et al.
Food Chemistry, 237, 214-224 (2017)
Detecting adulterated commercial sweet sorghum syrups with ion chromatography oligosaccharide fingerprint profiles
Eggleston G, et al.
Separations, 3(3), 20-20 (2016)

Our team of scientists has experience in all areas of research including Life Science, Material Science, Chemical Synthesis, Chromatography, Analytical and many others.

Contact Technical Service