Skip to Content
Merck
CN

F0808

Sigma-Aldrich

Frondoside A hydrate

≥96% (HPLC)

Sign Into View Organizational & Contract Pricing

Select a Size


About This Item

Empirical Formula (Hill Notation):
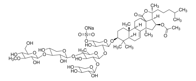
C60H95O29S·Na · xH2O
CAS Number:
Molecular Weight:
1335.43 (anhydrous basis)
UNSPSC Code:
12352200
PubChem Substance ID:
NACRES:
NA.77
Technical Service
Need help? Our team of experienced scientists is here for you.
Let Us Assist
Technical Service
Need help? Our team of experienced scientists is here for you.
Let Us Assist

Assay

≥96% (HPLC)

form

powder

storage condition

desiccated

color

white to off-white

solubility

H2O: ≥10 mg/mL

storage temp.

−20°C

SMILES string

[Na+].COC1C(O)C(CO)OC(OC2C(O)COC(OC3C(C)OC(OC4C(O)C(COC4O[C@H]5CC[C@]6(C)C7CCC89C([C@H](C[C@@]8(C)C7=CCC6C5(C)C)OC(C)=O)[C@](C)(CCCC(C)C)OC9=O)OS([O-])(=O)=O)C(OC%10OCC(O)C(O)C%10O)C3O)C2O)C1O

InChI

1S/C60H96O29S.Na/c1-25(2)12-11-17-59(9)49-32(81-27(4)62)20-58(8)29-13-14-35-56(5,6)36(16-18-57(35,7)28(29)15-19-60(49,58)55(72)88-59)83-53-47(39(67)34(24-79-53)89-90(73,74)75)87-54-48(86-50-40(68)37(65)30(63)22-77-50)41(69)44(26(3)80-54)84-51-42(70)45(31(64)23-78-51)85-52-43(71)46(76-10)38(66)33(21-61)82-52;/h13,25-26,28,30-54,61,63-71H,11-12,14-24H2,1-10H3,(H,73,74,75);/q;+1/p-1/t26?,28?,30?,31?,32-,33?,34?,35-,36-,37?,38?,39?,40?,41?,42?,43?,44?,45?,46?,47?,48?,49+,50?,51?,52?,53?,54?,57+,58-,59-,60?;/m0./s1

InChI key

JVAXTYZSDXFKMH-RYKXRNEYSA-M

Biochem/physiol Actions

Frondoside A is a bioactive triterpenoid saponin from sea cucumber; and an immunostimulant.
Frondoside A is a bioactive triterpenoid saponin from sea cucumber; and an immunostimulant. Frondoside A is an extremely potent inducer of apoptosis, and although it does activate caspaces, it can induce apoptosis in HL-60 cells through a mechanism distinct from extrinsic and intrinsic apoptosis pathways. It potentially valuable for cancers that are resistent to other apoptosis inducers, such as pancreatic cancer.

Storage Class Code

11 - Combustible Solids

WGK

WGK 3

Flash Point(F)

Not applicable

Flash Point(C)

Not applicable


Choose from one of the most recent versions:

Certificates of Analysis (COA)

Lot/Batch Number

Don't see the Right Version?

If you require a particular version, you can look up a specific certificate by the Lot or Batch number.

Already Own This Product?

Find documentation for the products that you have recently purchased in the Document Library.

Visit the Document Library

Our team of scientists has experience in all areas of research including Life Science, Material Science, Chemical Synthesis, Chromatography, Analytical and many others.

Contact Technical Service