Skip to Content
Merck
CN

G5642

Sigma-Aldrich

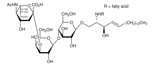
Monosialoganglioside GM₃

from canine blood, ≥98%, epidermal cell growth inhibitor, lyophilized powder

Sign Into View Organizational & Contract Pricing

Select a Size


About This Item

CAS Number:
MDL number:
UNSPSC Code:
12352200
NACRES:
NA.77
Technical Service
Need help? Our team of experienced scientists is here for you.
Let Us Assist
Technical Service
Need help? Our team of experienced scientists is here for you.
Let Us Assist

Product Name

Monosialoganglioside GM3 from canine blood, ≥98%, lyophilized powder

Quality Level

Assay

≥98%

form

lyophilized powder

solubility

chloroform/methanol/water (9.5:9.5:1): 20 mg/mL, clear, colorless to light yellow

storage temp.

−20°C

Looking for similar products? Visit Product Comparison Guide

General description

Gangliosides are major constituents of neuronal cell membranes and endoplasmic reticulum. They contain a sialated polysaccharide chain linked to ceramide through a β-glycosidic linkage. For classification of gangliosides see Svennerholm, L., et al. (eds.), Structure and Function of Gangliosides, New York, Plenum, 1980.

Application

Monosialoganglioside GM3 from canine blood has been used as a reference standard in high-performance thin-layer chromatography (HPTLC) to analyze ganglioside signatures of prostate cancer (CaP) cells. It has also been used to determine ganglioside-binding profiles of methylotrophic yeast (Pichia pastoris) secreted cholera toxin B subunit (PpCTB) by enzyme-linked immunosorbent assay (ELISA).

Biochem/physiol Actions

Monosialoganglioside GM3 has a potential role in cancer development and progression. Increased expression of GM3 has been observed in various types of cancer. Hence, it is used as a tumor-associated carbohydrate antigen during cancer vaccine development.
Monosialoganglioside-GM3 is the most common ganglioside and the major ganglioside in non-neuronal cell membranes. It inhibits epidermal cell growth and is involved in the biosynthesis and metabolism of all higher gangliosides.

Analysis Note

The product is soluble at 20 mg/mL in a 1:1 mixture of chloroform and ethanol with 5% water. The resulting solution is colorless

Storage Class Code

11 - Combustible Solids

WGK

WGK 3

Flash Point(F)

Not applicable

Flash Point(C)

Not applicable

Personal Protective Equipment

dust mask type N95 (US), Eyeshields, Gloves

Regulatory Information

新产品
This item has

Choose from one of the most recent versions:

Certificates of Analysis (COA)

Lot/Batch Number

Don't see the Right Version?

If you require a particular version, you can look up a specific certificate by the Lot or Batch number.

Already Own This Product?

Find documentation for the products that you have recently purchased in the Document Library.

Visit the Document Library

Mepur H Ravindranath et al.
Biochemical and biophysical research communications, 324(1), 154-165 (2004-10-07)
Prior development of a unique androgen-receptor (AR)-negative cell line (HH870) from organ-confined (T2b) human prostate cancer (CaP) enabled comparison of the gangliosides associated with normal and neoplastic prostate epithelial cells, organ-confined versus metastatic (DU 145, PC-3), and AR-negative versus AR-positive
Mepur H Ravindranath et al.
International journal of cancer, 116(3), 368-377 (2005-04-09)
Our study investigated whether endogenous IgM antibodies to gangliosides occur in patients with early stages of prostate cancer (CaP) patients, after defining ganglioside profiles of CaP cell lines. Immune and resorcinol staining detected the presence of gangliosides GM3, GM2, GD3
Changping Zheng et al.
Current medicinal chemistry, 26(16), 2933-2947 (2018-01-30)
Ganglioside GM3 is strongly related with human tumors, such as lung, brain cancers and melanomas, and more and more evidences have revealed that GM3 possesses powerful effects on cancer development and progression. GM3 is over expressed on several types of
Takeshi Miyata et al.
Vaccine, 30(5), 948-958 (2011-11-29)
Methylotrophic yeast (Pichia pastoris) secreted cholera toxin B subunit (CTB) predominantly as a biologically active pentamer (PpCTB) with identical ganglioside binding affinity profiles to that of choleragenoid. Unlike choleragenoid, however, the PpCTB did not induce a footpad edema response in
S Schwarz et al.
Scientific reports, 10(1), 5380-5380 (2020-03-28)
Dogs share many chronic morbidities with humans and thus represent a powerful model for translational research. In comparison to rodents, the canine ganglioside metabolism more closely resembles the human one. Gangliosides are components of the cell plasma membrane playing a

Articles

Discover Bioactive Small Molecules for Lipid Signaling Research

Our team of scientists has experience in all areas of research including Life Science, Material Science, Chemical Synthesis, Chromatography, Analytical and many others.

Contact Technical Service