Skip to Content
Merck
CN

SML3350

Acriflavine purified

≥95% (HPLC)

Synonym(s):

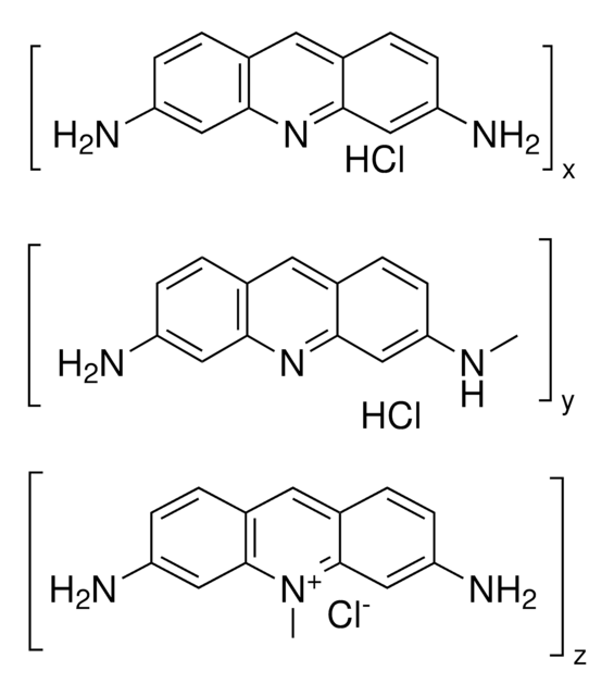
Mixture of trypaflavines (3,6-diamino-10-methylacridinium chloride and 3,6-diamino-3-methylacridinehydrochloride) and proflavine (3,6-diaminoacridine) hydrochloride

Sign In to View Organizational & Contract Pricing.

Select a Size


About This Item

Linear Formula:
[C13H11N3.HCl]x·[C14H13N3.HCl]y ·[C14H14N3·Cl]z
UNSPSC Code:
12352200
NACRES:
NA.25
Technical Service
Need help? Our team of experienced scientists is here for you.
Let Us Assist
Technical Service
Need help? Our team of experienced scientists is here for you.
Let Us Assist

InChI key

CNKPVFNEZPNSQB-UHFFFAOYSA-N

SMILES string

NC1=CC2=C(C=C1)C=C3C=CC(N)=CC3=N2.NC4=CC5=C(C=C4)C=C6C=CC(NC)=CC6=N5.NC7=CC8=C(C=C7)C=C9C=CC(N)=CC9=[N+]8C.[Cl-].Cl.Cl

assay

≥95% (HPLC)

form

powder

color

red to brown

solubility

DMSO: 2 mg/mL, clear

storage temp.

2-8°C

Quality Level

Biochem/physiol Actions

Acriflavine is an antimicrobial drug used to treat against sleeping sickness, urinary tract infections, and gonorrhea. Acriflavine is a potent inhibitor of SARS-CoV-2 papain-5 like protease (PLpro), which potently inhibits viral replication in vivo in mice and ex vivo in human airway epithelia. It is a mixture of trypaflavines (3,6-diamino-10-methylacridinium chloride and 3,6-diamino-3-methylacridinium chloride) and proflavine (3,6-diaminoacridine). Apparently commercial acriflavine mixtures contain the combination of differently methylated proflavines to optimally block the PLpro active site. Also, it potently inhibits replication of other betacoronaviruses.
Antimicrobial; potent inhibitor of SARS-CoV-2 papain-5 like protease (PLpro) and inhibits virus replication

Storage Class

11 - Combustible Solids

wgk

WGK 3

flash_point_f

Not applicable

flash_point_c

Not applicable

Regulatory Information

新产品
This item has

Choose from one of the most recent versions:

Certificates of Analysis (COA)

Lot/Batch Number

Don't see the Right Version?

If you require a particular version, you can look up a specific certificate by the Lot or Batch number.

Already Own This Product?

Find documentation for the products that you have recently purchased in the Document Library.

Visit the Document Library

Valeria Napolitano et al.
Cell chemical biology, 29(5), 774-784 (2022-01-13)
The COVID-19 pandemic caused by SARS-CoV-2 has been socially and economically devastating. Despite an unprecedented research effort and available vaccines, effective therapeutics are still missing to limit severe disease and mortality. Using high-throughput screening, we identify acriflavine (ACF) as a

Our team of scientists has experience in all areas of research including Life Science, Material Science, Chemical Synthesis, Chromatography, Analytical and many others.

Contact Technical Service