Sign In to View Organizational & Contract Pricing.
Select a Size
Change View
About This Item
Empirical Formula (Hill Notation):
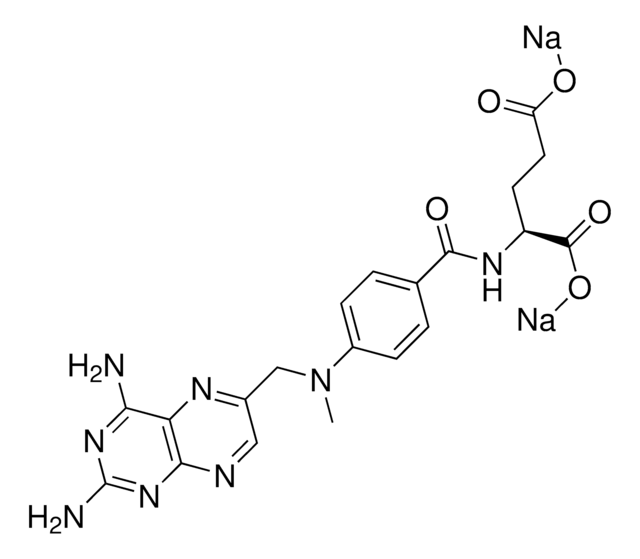
C20H20N8Na2O5
CAS Number:
Molecular Weight:
498.40
UNSPSC Code:
12352200
NACRES:
NA.21
MDL number:
Quality Level
assay
≥98% (HPLC)
form
powder
storage condition
desiccated
color
white to brown
solubility
H2O: 2 mg/mL, clear
storage temp.
-10 to -25°C
SMILES string
[Na].[Na].N([C@@H](CCC(=O)O)C(=O)O)C(=O)c1ccc(cc1)N(Cc2nc3c(nc(nc3N)N)nc2)C
InChI key
HQRCOVOSZPGUCA-GXKRWWSZSA-N
Related Categories
Biochem/physiol Actions
Folic acid antagonist that is used as an antineoplastic and antirheumatic drug
Methotrexate disodium salt is a potent is a folic acid antagonist that is used as an antineoplastic and antirheumatic drug. Methotrexate disodium salt is a potent inhibitor of dihydrofolate reductase.
Disclaimer
Hygroscopic
signalword
Danger
Hazard Classifications
Acute Tox. 3 Oral - Eye Irrit. 2 - Muta. 2 - Repr. 1B - Skin Irrit. 2
Storage Class
6.1C - Combustible acute toxic Cat.3 / toxic compounds or compounds which causing chronic effects
wgk
WGK 3
flash_point_f
Not applicable
flash_point_c
Not applicable
Choose from one of the most recent versions:
Already Own This Product?
Find documentation for the products that you have recently purchased in the Document Library.
Molecular basis for pharmacokinetics and pharmacodynamics of methotrexate in rheumatoid arthritis therapy
Drug Metabolism and Pharmacokinetics, 29(1), 12-19 (2014)
Marrubium alysson L. Ameliorated Methotrexate-Induced Testicular Damage in Mice through Regulation of Apoptosis and miRNA-29a Expression: LC-MS/MS Metabolic Profiling.
Plants (Basel, Switzerland), 11(17), 2309-2309 (2022)
The effects of drug transporters on the efficacy of methotrexate in the treatment of rheumatoid arthritis
Life Sciences, 268, 118907-118907 (2021)
Global Trade Item Number
| SKU | GTIN |
|---|---|
| SML3779-50MG | 04065270043856 |
| SML3779-250MG | 04065270043849 |
Our team of scientists has experience in all areas of research including Life Science, Material Science, Chemical Synthesis, Chromatography, Analytical and many others.
Contact Technical Service
