跳转至内容
Merck
CN

749869

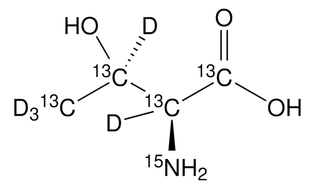
L-Threonine-13C4,15N,2,3,4,4,4-d5

98 atom % 15N, 98 atom % D, 99 atom % 13C, 95% (CP)

别名:

(2S,3R)-2-Amino-3-hydroxybutyric acid-13C4,15N,2,3,4,4,4-d5

登录 查看组织和合同定价。

关于此项目

线性分子式:
13CD313CD(OH)13CD(15NH2)13COOH
分子量:
129.11
UNSPSC Code:
12352116
PubChem Substance ID:
MDL number:
Isotopic purity:
99 atom % 13C, 98 atom % 15N, 98 atom % D
Assay:
95% (CP)
Mass shift:
M+10
Form:
solid
技术服务
需要帮助?我们经验丰富的科学家团队随时乐意为您服务。
让我们为您提供帮助

InChI

1S/C4H9NO3/c1-2(6)3(5)4(7)8/h2-3,6H,5H2,1H3,(H,7,8)/t2-,3+/m1/s1/i1+1D3,2+1D,3+1D,4+1,5+1

SMILES string

O[13C]([13C]([15NH2])([2H])[13C@]([2H])(O)[13C]([2H])([2H])[2H])=O

InChI key

AYFVYJQAPQTCCC-OWPUPSSQSA-N

isotopic purity

99 atom % 13C, 98 atom % 15N, 98 atom % D

assay

95% (CP)

form

solid

technique(s)

bio NMR: suitable

mp

256 °C (dec) (lit.)

mass shift

M+10

Packaging

This product may be available from bulk stock and can be packaged on demand. For information on pricing, availability and packaging, please contact Stable Isotopes Customer Service.

存储类别

11 - Combustible Solids

wgk

WGK 1

flash_point_f

Not applicable

flash_point_c

Not applicable


历史批次信息供参考:

分析证书(COA)

Lot/Batch Number

没有发现合适的版本?

如果您需要特殊版本,可通过批号或批次号查找具体证书。

已有该产品?

在文件库中查找您最近购买产品的文档。

访问文档库

我们的科学家团队拥有各种研究领域经验,包括生命科学、材料科学、化学合成、色谱、分析及许多其他领域.

联系客户支持