跳转至内容
Merck
CN

749958

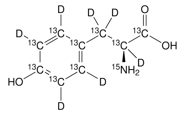
L-Tyrosine-13C9,15N,α,β,β,2,3,5,6-d7

98 atom % D, 99 atom % 13C, 98 atom % 15N, 95% (CP)

别名:

(S)-2-Amino-3-(4-hydroxyphenyl)propionic acid-13C9,15N,α,β,β,2,3,5,6-d7, 3-(4-Hydroxyphenyl)-L-alanine-13C9,15N,α,β,β,2,3,5,6-d7

登录 查看组织和合同定价。

关于此项目

线性分子式:
4-(OH)13C6D413CD213CD(15NH2)13COOH
分子量:
198.16
PubChem Substance ID:
UNSPSC Code:
12352116
Isotopic purity:
99 atom % 13C, 98 atom % 15N, 98 atom % D
Assay:
95% (CP)
Mass shift:
M+17
Form:
solid
技术服务
需要帮助?我们经验丰富的科学家团队随时乐意为您服务。
让我们为您提供帮助

InChI

1S/C9H11NO3/c10-8(9(12)13)5-6-1-3-7(11)4-2-6/h1-4,8,11H,5,10H2,(H,12,13)/t8-/m0/s1/i1+1D,2+1D,3+1D,4+1D,5+1D2,6+1,7+1,8+1D,9+1,10+1

InChI key

OUYCCCASQSFEME-DMCCTQHKSA-N

SMILES string

O[13C]([13C@]([15NH2])([2H])[13C]([2H])([2H])[13C]1=[13C]([2H])[13C]([2H])=[13C](O)[13C]([2H])=[13C]1[2H])=O

isotopic purity

99 atom % 13C, 98 atom % 15N, 98 atom % D

assay

95% (CP)

form

solid

technique(s)

bio NMR: suitable

mp

>300 °C (lit.)

mass shift

M+17

Packaging

This product may be available from bulk stock and can be packaged on demand. For information on pricing, availability and packaging, please contact Stable Isotopes Customer Service.

存储类别

11 - Combustible Solids

wgk

WGK 1

flash_point_f

Not applicable

flash_point_c

Not applicable


历史批次信息供参考:

分析证书(COA)

Lot/Batch Number

没有发现合适的版本?

如果您需要特殊版本,可通过批号或批次号查找具体证书。

已有该产品?

在文件库中查找您最近购买产品的文档。

访问文档库

我们的科学家团队拥有各种研究领域经验,包括生命科学、材料科学、化学合成、色谱、分析及许多其他领域.

联系客户支持