跳转至内容
Merck
CN

760919

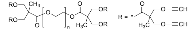
Poly(ethylene glycol), 8 acetylene dendron, generation 2

average Mn 6,900

别名:

Polyethylene glycol

登录 查看组织和合同定价。

选择尺寸


关于此项目

NACRES:
NA.23
UNSPSC Code:
12162002
技术服务
需要帮助?我们经验丰富的科学家团队随时乐意为您服务。
让我们为您提供帮助
技术服务
需要帮助?我们经验丰富的科学家团队随时乐意为您服务。
让我们为您提供帮助

description

Esterified with 8 acetylene groups

form

solid

mol wt

PEG average Mn 6,000, average Mn 6,900

feature

generation 2

no. Surface Groups

8

transition temp

Tm 47-52 °C

functional group

alkyne

Quality Level

正在寻找类似产品? 访问 产品对比指南

General description

Dendrimers and dendrons are symmetrically branched polymer structures that possess a well-defined spatial distribution of functional groups. Dendrimers are chemically modified by attaching Poly ethylene glycol (PEG) molecule to increase its solubility and prolong circulation half-life. Clickable groups”, such as primary acetylenes, are introduced to the mono dispersed dendritic structures, using “click” chemistry.

存储类别

11 - Combustible Solids

wgk

WGK 3

flash_point_f

Not applicable

flash_point_c

Not applicable

法规信息

新产品
此项目有

历史批次信息供参考:

分析证书(COA)

Lot/Batch Number

没有发现合适的版本?

如果您需要特殊版本,可通过批号或批次号查找具体证书。

已有该产品?

在文件库中查找您最近购买产品的文档。

访问文档库

Biocompatible Dendritic Building Blocks for Advanced Biomedical Reasearch
Michael Malkoch and Andreas M Nystrom
Material Matters, 7(3), 47-49 null
Huiyuan Li et al.
Molecules (Basel, Switzerland), 18(8), 9797-9817 (2013-08-21)
Click chemistry is an efficient and chemoselective synthetic method for coupling molecular fragments under mild reaction conditions. Since the advent in 2001 of methods to improve stereochemical conservation, the click chemistry approach has been broadly used to construct diverse chemotypes
Degradable Poly (ethylene glycol) hydrogels for 2 D and 3D cell culture
Andrea M Kasko
Material Matters, 6 (3), 67-75 null

我们的科学家团队拥有各种研究领域经验,包括生命科学、材料科学、化学合成、色谱、分析及许多其他领域.

联系客户支持