跳转至内容
Merck
CN

930741

Poly(oligoethylene glycol methacrylate)

别名:

POEGMA, Poly(oligo(ethylene glycol)methacrylate)

登录 查看组织和合同定价。

选择尺寸


关于此项目

线性分子式:
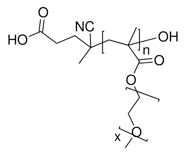
C6H8NO2[C4H5O2(C2H4O)x]nOH
NACRES:
NA.21
UNSPSC Code:
12352104
技术服务
需要帮助?我们经验丰富的科学家团队随时乐意为您服务。
让我们为您提供帮助
技术服务
需要帮助?我们经验丰富的科学家团队随时乐意为您服务。
让我们为您提供帮助

form

liquid

mol wt

80,000-130,000

color

colorless

storage temp.

−20°C

Quality Level

General description

Poly(oligo(ethylene glycol) methacrylate) (POEGMA) is a family of polymers consisting of a hydrophobic methacrylate backbone and hydrophilic ethylene oxide (EO) side groups with highly branched architecture. The highly branched architecture with a high density of oligo EO moities enhances the solubility of the polymer in water.

Application

  • Drug delivery- enhances the stability and delivery of siRNA and eliminates PEG antigenicity
  • Biosensor coatings- provides an anti-fouling surface
  • Stimuli-responsive hydrogels for tissue engineering, drug delivery, and other biomedical applications
Poly(oligo(ethylene glycol) methyl ether methacrylate) (POEGMA) is a family of polymers consisting of a hydrophobic methacrylate backbone and hydrophilic ethylene oxide (EO) side groups with highly branched architecture . The side chain EO segments enhance the solubility of the polymer in water , exhibiting many interesting properties such as non-fouling , stealth, anti-PEG antibodies & thermo-responsive behaviors.

Features and Benefits

  • Highly branched architecture and high density of oligo ethylene oxide moieties
  • Water soluble
  • Nonfouling and thermo-responsive behaviors
  • Viable alternative to PEG in biological and biomaterial applications

存储类别

10 - Combustible liquids

wgk

WGK 3

flash_point_f

Not applicable

flash_point_c

Not applicable

法规信息

新产品
此项目有

历史批次信息供参考:

分析证书(COA)

Lot/Batch Number

没有发现合适的版本?

如果您需要特殊版本,可通过批号或批次号查找具体证书。

已有该产品?

在文件库中查找您最近购买产品的文档。

访问文档库

Rafael Pires-Oliveira et al.
Langmuir : the ACS journal of surfaces and colloids, 36(49), 15018-15029 (2020-12-05)
Understanding of the temperature-induced phase transition of poly(oligo(ethylene glycol) methyl ether methacrylate) (POEGMA) random copolymers with varied composition remains largely incomplete. Upon heating they can form either macroscopically phase-separated aggregates or micelles. We examined the effect of polymer architecture by
Yizhi Qi et al.
Nature biomedical engineering, 1 (2016-01-01)
The delivery of therapeutic peptides and proteins is often challenged by a short half-life, and thus the need for frequent injections that limit efficacy, reduce patient compliance and increase treatment cost. Here, we demonstrate that a single subcutaneous injection of
In Pursuit of Zero 2.0: Recent Developments in Nonfouling Polymer Brushes for Immunoassays
Heggestad J., et al.
Advanced Materials, 32 (2020)
Fei Xu et al.
ACS biomaterials science & engineering, 7(9), 4258-4268 (2021-02-12)
Reactive electrospinning is demonstrated as a viable method to create fast-responsive and degradable macroporous thermoresponsive hydrogels based on poly(oligoethylene glycol methacrylate) (POEGMA). Hydrazide- and aldehyde-functionalized POEGMA precursor polymers were coelectrospun to create hydrazone cross-linked nanostructured hydrogels in a single processing
(Co)polymers of oligo(ethylene glycol) methacrylates?temperature-induced aggregation in aqueous solution.
Trzebicka B, et al.
Journal of Polymer Science Part A: Polymer Chemistry, 51, 614?623-614?623 (2013)

我们的科学家团队拥有各种研究领域经验,包括生命科学、材料科学、化学合成、色谱、分析及许多其他领域.

联系客户支持