产品名称
转谷氨酰胺酶检测试剂盒, sufficient for assays in two 96-well plates
shipped in
dry ice
storage temp.
−20°C
Quality Level
Gene Information
human ... TGM1(7051), TGM2(7052), TGM3(7053), TGM4(7047), TGM5(9333), TGM6(343641), TGM7(116179)
Application
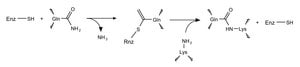
该检测的原理是将聚L-赖氨酸游离氨基基团共价结合到板表面,然后借助谷氨酰胺转移酶的催化反应在检测缓冲液中与生物素-TVQQEL-OH底物的γ-甲酰胺基团形成共价键。此反应可将生物素固定在板的表面。固定化的生物素量与样品中的谷氨酰胺转移酶活性成正比。固定化的生物素的量可利用链霉亲和素-过氧化物酶和TMB底物来测定。
Biochem/physiol Actions
谷氨酰胺转移酶 (TGases) 分布广泛,也是唯一依赖钙离子的酶,通过形成异肽键的方式催化蛋白质翻译后修饰。该反应通过形成γ-谷氨基-ε-赖氨酸键的交联蛋白或者在选定的肽结合谷氨酰胺残基掺入伯胺来进行。交联的产品通常分子量较高,且对机械破坏和蛋白水解降解具有较高的耐受性,同时在多种组织和加工过程中会大量积聚——这些性质对皮肤、头发、血液凝结和伤口愈合等非常重要。 这些酶活性失常是很多人类疾病的病因之一。
General description
谷氨酰胺转移酶检测试剂盒用于在各类生物样品中检测谷氨酰胺转移酶的活性。此外,还可用于筛选谷氨酰胺转移酶抑制剂/激活剂。
Other Notes
检测限为0.003 mU/assay或者0.03mU/ml谷氨酰胺转移酶。
signalword
Danger
hcodes
Hazard Classifications
Aquatic Chronic 3 - Eye Dam. 1 - Met. Corr. 1 - Resp. Sens. 1 - Skin Irrit. 2
存储类别
8A - Combustible corrosive hazardous materials
法规信息
常规特殊物品
此项目有
Bovine aortic endothelial cell transglutaminase. Enzyme characterization and regulation of activity.
G Korner et al.
The Biochemical journal, 262(2), 633-641 (1989-09-01)
Bovine aortic endothelial cells contain Ca2+-dependent tissue-type transglutaminase. Its activity in these cells was high, with apparent Km and Vmax. values with respect to putrescine of 0.203 mM and 18.5 nmol/min per mg of protein, and its activity was inhibited
Claudia Damaris Müller et al.
Scientific reports, 12(1), 13326-13326 (2022-08-04)
Transglutaminases (TGs) catalyze the covalent crosslinking of proteins via isopeptide bonds. The most prominent isoform, TG2, is associated with physiological processes such as extracellular matrix (ECM) stabilization and plays a crucial role in the pathogenesis of e.g. fibrotic diseases, cancer
Transglutaminases and their substrates.
Francesco Facchiano et al.
Progress in experimental tumor research, 38, 37-57 (2005-03-05)
Michael Cangkrama et al.
The Journal of investigative dermatology, 136(7), 1438-1448 (2016-03-16)
The skin barrier is critical for mammalian survival in the terrestrial environment, affording protection against fluid loss, microbes, toxins, and UV exposure. Many genes indispensable for barrier formation in the embryo have been identified, but loss of these genes in
Daniel Rittschof et al.
PloS one, 6(2), e16487-e16487 (2011-03-08)
Attachment strength of fouling organisms on silicone coatings is low. We hypothesized that low attachment strength on silicones is, in part, due to the interaction of surface available components with natural glues. Components could alter curing of glues through bulk
相关内容
Instructions
我们的科学家团队拥有各种研究领域经验,包括生命科学、材料科学、化学合成、色谱、分析及许多其他领域.
联系客户支持
