跳转至内容
Merck
CN

D0890

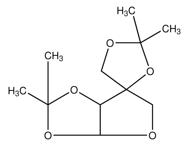
1,2:3,5-Di-O-isopropylidene-α-D-apiose

别名:

α-D-Apiose diacetonide

登录 查看组织和合同定价。

选择尺寸


关于此项目

经验公式(希尔记法):
C11H18O5
化学文摘社编号:
分子量:
230.26
UNSPSC Code:
12352201
PubChem Substance ID:
MDL number:
技术服务
需要帮助?我们经验丰富的科学家团队随时乐意为您服务。
让我们为您提供帮助
技术服务
需要帮助?我们经验丰富的科学家团队随时乐意为您服务。
让我们为您提供帮助

InChI

1S/C11H18O5/c1-9(2)13-6-11(16-9)5-12-8-7(11)14-10(3,4)15-8/h7-8H,5-6H2,1-4H3

SMILES string

CC1(C)OCC2(COC3OC(C)(C)OC23)O1

InChI key

WGCOBUGUSFKJSL-UHFFFAOYSA-N

form

solid

storage temp.

−20°C

Application

Di-O-isopropylidene-α-D-apiose may be used as a reagent for the organic synthesis of conformationally semirigid diacylglycerol (DAG) analogues embedded into five-membered ring lactones.

存储类别

13 - Non Combustible Solids

wgk

WGK 3

flash_point_f

Not applicable

flash_point_c

Not applicable

ppe

Eyeshields, Gloves, type N95 (US)

法规信息

涉药品监管产品
此项目有

历史批次信息供参考:

分析证书(COA)

Lot/Batch Number

没有发现合适的版本?

如果您需要特殊版本,可通过批号或批次号查找具体证书。

已有该产品?

在文件库中查找您最近购买产品的文档。

访问文档库

J Lee et al.
Journal of medicinal chemistry, 39(25), 4912-4919 (1996-12-06)
In the present investigation, the last two possible modes of generating conformationally semirigid diacylglycerol (DAG) analogues embedded into five-membered ring lactones as templates III and IV are investigated. The first two templates studied in previous investigations corresponded to 2-deoxyribonolactone (template

我们的科学家团队拥有各种研究领域经验,包括生命科学、材料科学、化学合成、色谱、分析及许多其他领域.

联系客户支持