跳转至内容
Merck
CN

SML2549

MS645

≥98% (HPLC)

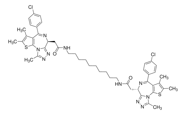
别名:

(S)-N,N′-(decane-1,10-diyl)bis(2-((6S)-4-(4-chlorophenyl)-2,3,9-trimethyl-6H-thieno[3,2-f] [1,2,4]triazolo[4,3-a][1,4]diazepin-6-yl)acetamide)

登录 查看组织和合同定价。

选择尺寸


关于此项目

经验公式(希尔记法):
C48H54Cl2N10O2S2
化学文摘社编号:
分子量:
938.04
UNSPSC Code:
12352200
NACRES:
NA.77
技术服务
需要帮助?我们经验丰富的科学家团队随时乐意为您服务。
让我们为您提供帮助
技术服务
需要帮助?我们经验丰富的科学家团队随时乐意为您服务。
让我们为您提供帮助

InChI

1S/C48H54Cl2N10O2S2/c1-27-29(3)63-47-41(27)43(33-15-19-35(49)20-16-33)53-37(45-57-55-31(5)59(45)47)25-39(61)51-23-13-11-9-7-8-10-12-14-24-52-40(62)26-38-46-58-56-32(6)60(46)48-42(28(2)30(4)64-48)44(54-38)34-17-21-36(50)22-18-34/h15-22,37-38H,7-14,23-26H2,

InChI key

VFGPQYYCEGAFLY-UWXQCODUSA-N

SMILES string

CC1=NN=C2N1C3=C(C(C)=C(C)S3)C(C4=CC=C(Cl)C=C4)=N[C@H]2CC(NCCCCCCCCCCNC(C[C@H]5C6=NN=C(C)N6C7=C(C(C)=C(C)S7)C(C8=CC=C(Cl)C=C8)=N5)=O)=O

assay

≥98% (HPLC)

form

powder

color

white to beige

solubility

DMSO: 2 mg/mL, clear

storage temp.

−20°C

Biochem/physiol Actions

MS645 is a cell penetrant bivalent bromodomain (BRD) inhibitor that inhibits the tandem BD1/BD2 of BRD4. It potently represses BRD4 transcriptional activity in solid-tumor cells including TNBC. MS645 potently inhibits IL-6 expression MDA-MB-231 cells. MS645 exhibits sustained blockade of BRD4 by inhibition of BRD4 interactions with transcription enhancer/mediator proteins MED1 and YY1.
cell penetrant bivalent bromodomain (BRD) inhibitor that inhibits the tandem BD1/BD2 of BRD4

存储类别

11 - Combustible Solids

wgk

WGK 3

flash_point_f

Not applicable

flash_point_c

Not applicable

法规信息

新产品
此项目有

历史批次信息供参考:

分析证书(COA)

Lot/Batch Number

没有发现合适的版本?

如果您需要特殊版本,可通过批号或批次号查找具体证书。

已有该产品?

在文件库中查找您最近购买产品的文档。

访问文档库

Chunyan Ren et al.
Proceedings of the National Academy of Sciences of the United States of America, 115(31), 7949-7954 (2018-07-18)
The importance of BET protein BRD4 in gene transcription is well recognized through the study of chemical modulation of its characteristic tandem bromodomain (BrD) binding to lysine-acetylated histones and transcription factors. However, while monovalent inhibition of BRD4 by BET BrD

我们的科学家团队拥有各种研究领域经验,包括生命科学、材料科学、化学合成、色谱、分析及许多其他领域.

联系客户支持