跳转至内容
Merck
CN

SML3245

dCBP-1

≥98% (HPLC)

别名:

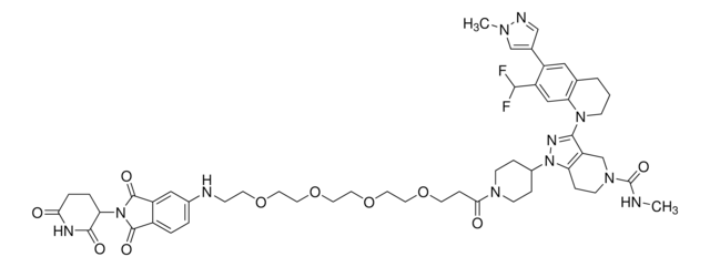
3-[7-(difluoromethyl)-3,4-dihydro-6-(1-methyl-1H-pyrazol-4-yl)-1(2H)-quinolinyl]-1-[1-[15-[[2-(2,6-dioxo-3-piperidinyl)-2,3-dihydro-1,3-dioxo-1H-isoindol-5-yl]amino]-1-oxo-4,7,10,13-tetraoxapentadec-1-yl]-4-piperidinyl]-1,4,6,7-tetrahydro-N-methyl-5H-pyrazolo[4,3-c]pyridine-5-carboxamide

登录 查看组织和合同定价。

选择尺寸

变更视图

关于此项目

经验公式(希尔记法):
C51H63F2N11O10
化学文摘社编号:
分子量:
1028.11
UNSPSC Code:
12352200
NACRES:
NA.77
Assay:
≥98% (HPLC)
Form:
powder
Quality level:
技术服务
需要帮助?我们经验丰富的科学家团队随时乐意为您服务。
让我们为您提供帮助

Quality Level

assay

≥98% (HPLC)

form

powder

color

white to beige

solubility

DMSO: 2 mg/mL, clear

storage temp.

2-8°C

SMILES string

O=C(N1CCC(CC1)N2N=C(C3=C2CCN(C3)C(NC)=O)N4C5=C(CCC4)C=C(C6=CN(N=C6)C)C(C(F)F)=C5)CCOCCOCCOCCOCCNC7=CC=C(C8=C7)C(N(C8=O)C9C(NC(CC9)=O)=O)=O

InChI

1S/C51H63F2N11O10/c1-54-51(70)61-17-11-41-40(31-61)47(62-14-3-4-32-26-37(33-29-56-59(2)30-33)38(46(52)53)28-43(32)62)58-64(41)35-9-15-60(16-10-35)45(66)12-18-71-20-22-73-24-25-74-23-21-72-19-13-55-34-5-6-36-39(27-34)50(69)63(49(36)68)42-7-8-44(65)57-48(42

InChI key

ILVRLRGBSSFKIE-UHFFFAOYSA-N

Biochem/physiol Actions

Highly potent and selective bifunctional PROTAC degrader of CREB-binding protein (CBP) and p300 (p300/CBP)
dCBP-1 is a highly potent and selective bifunctional PROTAC degrader of CREB-binding protein (CBP) and p300 (p300/CBP) that potently inhibits enhancer-mediated transcription. dCBP-1 induces complete loss of p300/CBP in multiple cellular models of multiple myeloma.

存储类别

11 - Combustible Solids

wgk

WGK 3

flash_point_f

Not applicable

flash_point_c

Not applicable

法规信息

新产品

此项目有


历史批次信息供参考:

分析证书(COA)

Lot/Batch Number

没有发现合适的版本?

如果您需要特殊版本,可通过批号或批次号查找具体证书。

已有该产品?

在文件库中查找您最近购买产品的文档。

访问文档库

全球贸易项目编号

货号GTIN
SML3245-5MG04065267737409
SML3245-25MG04065267735191

我们的科学家团队拥有各种研究领域经验,包括生命科学、材料科学、化学合成、色谱、分析及许多其他领域.

联系客户支持