跳转至内容
Merck
CN

SML3716

MS6105

≥98% (HPLC)

别名:

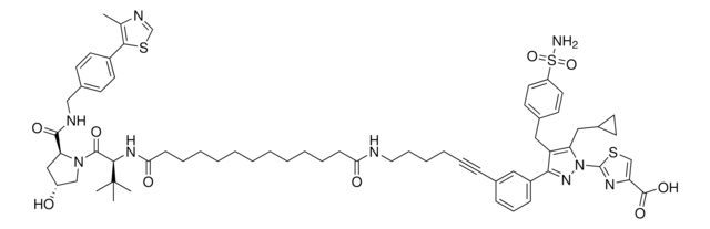
2-(5-(Cyclopropylmethyl)-3-(3-(6-(13-(((S)-1-((2S,4R)-4-hydroxy-2-((4-(4-methylthiazol-5-yl)benzyl)carbamoyl)pyrrolidin-1-yl)-3,3-dimethyl-1-oxobutan-2-yl)amino)-13-oxotridecanamido)hex-1-yn-1-yl)phenyl)-4-(4-sulfamoylbenzyl)-1H-pyrazol-1-yl)thiazole-4-carboxylic acid

登录 查看组织和合同定价。

选择尺寸

变更视图

关于此项目

经验公式(希尔记法):
C65H81N9O9S3
化学文摘社编号:
分子量:
1228.59
UNSPSC Code:
12352200
NACRES:
NA.77
Assay:
≥98% (HPLC)
Form:
powder
Quality level:
技术服务
需要帮助?我们经验丰富的科学家团队随时乐意为您服务。
让我们为您提供帮助


Quality Level

assay

≥98% (HPLC)

form

powder

color

white to beige

solubility

DMSO: 2 mg/mL, clear (Warmed)

storage temp.

-10 to -25°C

SMILES string

O=C(NCCCCC#CC1=CC(C2=NN(C(CC3CC3)=C2CC4=CC=C(C=C4)S(N)(=O)=O)C5=NC(C(O)=O)=CS5)=CC=C1)CCCCCCCCCCCC(N[C@H](C(N6C[C@@H](C[C@H]6C(NCC7=CC=C(C=C7)C8=C(N=CS8)C)=O)O)=O)C(C)(C)C)=O

InChI

1S/C65H81N9O9S3/c1-43-59(85-42-69-43)48-30-26-47(27-31-48)39-68-61(78)55-38-50(75)40-73(55)62(79)60(65(2,3)4)71-57(77)23-16-11-9-7-5-6-8-10-15-22-56(76)67-34-17-13-12-14-19-44-20-18-21-49(35-44)58-52(36-45-28-32-51(33-29-45)86(66,82)83)54(37-46-24-25-46)7

InChI key

APEYSKGQWJKJAZ-LCLGPXMOSA-N

Biochem/physiol Actions

Cell penetrant, potent and selective lactate dehydrogenase (LDH) degrader (PROTAC) that effectively degrades LDHA and LDHB in PANC1 cells
MS6105 is a cell penetrant, potent and selective lactate dehydrogenase (LDH) degrader (PROTAC) that effectively degrades LDHA and LDHB in multiple pancreatic cancer cell lines. MS6105 potently inhibits the proliferation of PANC1 cells.


存储类别

11 - Combustible Solids

wgk

WGK 3

flash_point_f

Not applicable

flash_point_c

Not applicable



历史批次信息供参考:

分析证书(COA)

Lot/Batch Number

没有发现合适的版本?

如果您需要特殊版本,可通过批号或批次号查找具体证书。

已有该产品?

在文件库中查找您最近购买产品的文档。

访问文档库



Ning Sun et al.
Journal of medicinal chemistry, 66(1), 596-610 (2022-12-21)
Lactate dehydrogenase (LDH) is a key glycolytic enzyme and biomarker of aggressive cancers. LDHA and LDHB are two main LDH subunits, and both are frequently overexpressed in tumors and essential for tumor growth. A number of LDHA/B small-molecule inhibitors have



全球贸易项目编号

货号GTIN
SML3716-5MG04065269284291
SML3716-25MG04065269284284