跳转至内容
Merck
CN

14813

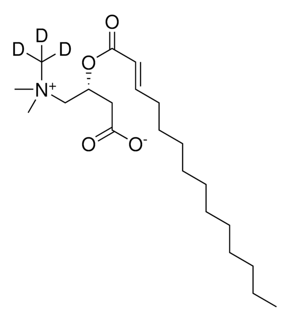
trans-2-Tetradecenoyl-L-carnitine-(N-methyl-d3)

analytical standard

别名:

(2R)-3-Carboxy-N,N-dimethyl-N-(methyl-d3)-2-[[(2E)-1-oxo-2-tetradecen-1-yl]oxy]-1-propanaminium inner salt, trans-2-Myristenoyl-L-carnitine-(N-methyl-d3)

登录 查看组织和合同定价。

选择尺寸


关于此项目

经验公式(希尔记法):
C21D3H36NO4
分子量:
372.56
UNSPSC Code:
41116107
NACRES:
NA.21
技术服务
需要帮助?我们经验丰富的科学家团队随时乐意为您服务。
让我们为您提供帮助
技术服务
需要帮助?我们经验丰富的科学家团队随时乐意为您服务。
让我们为您提供帮助

SMILES string

[O-]C(C[C@@H](OC(/C=C/CCCCCCCCCCC)=O)C[N+](C)(C([2H])([2H])[2H])C)=O

grade

analytical standard

assay

≥95%

shelf life

limited shelf life, expiry date on the label

存储类别

11 - Combustible Solids

wgk

WGK 3

flash_point_f

Not applicable

flash_point_c

Not applicable

法规信息

新产品
此项目有

历史批次信息供参考:

分析证书(COA)

Lot/Batch Number

没有发现合适的版本?

如果您需要特殊版本,可通过批号或批次号查找具体证书。

已有该产品?

在文件库中查找您最近购买产品的文档。

访问文档库

我们的科学家团队拥有各种研究领域经验,包括生命科学、材料科学、化学合成、色谱、分析及许多其他领域.

联系客户支持