Skip to Content
Merck
CN

B1136

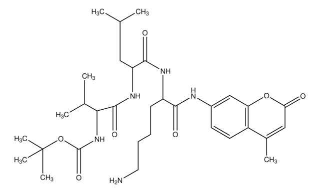
Boc-Val-Leu-Lys-7-amido-4-methylcoumarin

Sign In to View Organizational & Contract Pricing.

Select a Size

Change View

About This Item

Empirical Formula (Hill Notation):
C32H49N5O7
CAS Number:
Molecular Weight:
615.76
UNSPSC Code:
12352204
PubChem Substance ID:
EC Number:
277-536-9
MDL number:
Technical Service
Need help? Our team of experienced scientists is here for you.
Let Us Assist

storage temp.

−20°C

SMILES string

CC(C)CC(NC(=O)C(NC(=O)OC(C)(C)C)C(C)C)C(=O)NC(CCCCN)C(=O)Nc1ccc2C(C)=CC(=O)Oc2c1

Storage Class

11 - Combustible Solids

wgk

WGK 3

flash_point_f

Not applicable

flash_point_c

Not applicable

ppe

Eyeshields, Gloves, type N95 (US)

Regulatory Information

新产品

This item has


Choose from one of the most recent versions:

Certificates of Analysis (COA)

Lot/Batch Number

Don't see the Right Version?

If you require a particular version, you can look up a specific certificate by the Lot or Batch number.

Already Own This Product?

Find documentation for the products that you have recently purchased in the Document Library.

Visit the Document Library

S Miyoshi et al.
Microbiology and immunology, 39(12), 959-966 (1995-01-01)
Vibrio vulnificus, an opportunistic human pathogen causing wound infection and septicemia, produces a metalloprotease (VVP) which is suspected to be a virulent determinant. The interactions of VVP, as well as its derivative (PEG1-VVP) modified with polyethylene glycol, with a variety
T Imamura et al.
Acta pathologica japonica, 41(10), 722-729 (1991-10-01)
Induration is a prominent feature of delayed hypersensitivity reaction (DHR) and is associated with fibrin deposition. To determine whether thrombin and plasmin mediate the development of induration, we examined guinea pig skin extracts of tuberculin reaction sites for the protease
N Abe et al.
Journal of biochemistry, 128(5), 877-881 (2000-11-01)
Lys-gingipain (Kgp) is a major cysteine proteinase produced by the oral anaerobic bacterium Porphyromonas gingivalis, and has been implicated as a major pathogen in the development and progression of advanced adult periodontitis. This enzyme is believed to act as a

Our team of scientists has experience in all areas of research including Life Science, Material Science, Chemical Synthesis, Chromatography, Analytical and many others.

Contact Technical Service