Skip to Content
Merck
CN

C3305

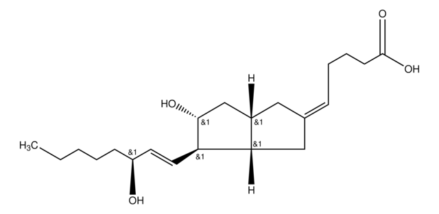
Carbacyclin

≥90% (HPLC)

Synonym(s):

6a-Carba-prostaglandin I2, Carbocyclic PGI2

Sign In to View Organizational & Contract Pricing.

Select a Size

Change View

About This Item

Empirical Formula (Hill Notation):
C21H34O4
CAS Number:
Molecular Weight:
350.49
UNSPSC Code:
12352211
PubChem Substance ID:
MDL number:
Technical Service
Need help? Our team of experienced scientists is here for you.
Let Us Assist


assay

≥90% (HPLC)

storage temp.

−20°C

SMILES string

[H][C@]12C[C@@H](O)[C@H](\C=C\[C@@H](O)CCCCC)[C@@]1([H])CC(\C2)=C\CCCC(O)=O

InChI

1S/C21H34O4/c1-2-3-4-8-17(22)10-11-18-19-13-15(7-5-6-9-21(24)25)12-16(19)14-20(18)23/h7,10-11,16-20,22-23H,2-6,8-9,12-14H2,1H3,(H,24,25)/b11-10+,15-7+/t16-,17-,18+,19-,20+/m0/s1

InChI key

XZFRIPGNUQRGPI-WBQKLGIQSA-N

Gene Information



Storage Class

13 - Non Combustible Solids

wgk

WGK 3

flash_point_f

Not applicable

flash_point_c

Not applicable

ppe

dust mask type N95 (US), Eyeshields, Gloves

Regulatory Information

新产品

This item has



Choose from one of the most recent versions:

Certificates of Analysis (COA)

Lot/Batch Number

Don't see the Right Version?

If you require a particular version, you can look up a specific certificate by the Lot or Batch number.

Already Own This Product?

Find documentation for the products that you have recently purchased in the Document Library.

Visit the Document Library



M J Mason et al.
The Journal of physiology, 533(Pt 1), 175-183 (2001-05-15)
Using simultaneous whole-cell patch-clamp and fluorescence measurements of [Ca2+]i in rat megakaryocytes we have investigated the requirement for functional inositol 1,4,5-trisphosphate (IP3) receptors in Ca2+ release induced by membrane depolarization during agonist stimulation. Voltage-dependent Ca2+ release was observed during application
K Noguchi et al.
Oral microbiology and immunology, 15(5), 299-304 (2001-01-12)
In the present study, we examined whether prostaglandin (PG) E2 and PGI2 regulated intercellular adhesion molecule-1 (ICAM-1) expression in human oral gingival epithelial cells stimulated with tumor necrosis factor alpha (TNF alpha). TNF alpha potently induced ICAM-1 expression in a
Tadashi Kuroda et al.
Journal of molecular and cellular cardiology, 43(1), 54-62 (2007-06-02)
Prostacyclin (PGI2) and its analogues exert cardioprotective effects via the rhodopsin type membrane PGI2 receptor, IP. Peroxisome proliferator-activated receptor (PPAR) delta is a nuclear receptor abundantly expressed in cardiomyocytes and plays a pivotal role in maintaining constitutive mitochondrial fatty acid