Sign In to View Organizational & Contract Pricing.
Select a Size
Change View
About This Item
Empirical Formula (Hill Notation):
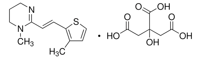
C12H16N2S · C6H8O7
CAS Number:
Molecular Weight:
412.46
UNSPSC Code:
51101500
PubChem Substance ID:
EC Number:
274-028-9
MDL number:
color
yellow
solubility
H2O: 4.0 mL, clear, yellow-green (200 mg + 4.0 mL H2O)
antibiotic activity spectrum
parasites
mode of action
enzyme | inhibits
SMILES string
OC(=O)CC(O)(CC(O)=O)C(O)=O.CN1CCCN=C1\C=C\c2sccc2C
InChI
1S/C12H16N2S.C6H8O7/c1-10-6-9-15-11(10)4-5-12-13-7-3-8-14(12)2;7-3(8)1-6(13,5(11)12)2-4(9)10/h4-6,9H,3,7-8H2,1-2H3;13H,1-2H2,(H,7,8)(H,9,10)(H,11,12)/b5-4+;
InChI key
OLOCXIJVDIVAHH-FXRZFVDSSA-N
Application
Morantel is a anthelmintic compound used to treat parasitic infections in livestock. It is also used to study allosteric potentiation of rat neuronal nicotinic acetylcholine receptors (nAChRs) and is used to study nematode nicotinic receptors.
Biochem/physiol Actions
Morantel is a potent non-canonical (binding site) acetylcholine (ACh) receptor agonist and inhibits fumarate reductase.
Morantel is a potent non-canonical (binding site) acetylcholine (ACh) receptor agonist and inhibits fumarate reductase. Morantel increases the macroscopic currents evoked by acetylcholine (ACh) from nAChRs expressed in Xenopus laevis oocytes up to 8 times.
signalword
Warning
hcodes
Hazard Classifications
Acute Tox. 4 Dermal - Acute Tox. 4 Inhalation - Acute Tox. 4 Oral
Storage Class
11 - Combustible Solids
wgk
WGK 3
flash_point_f
Not applicable
flash_point_c
Not applicable
ppe
dust mask type N95 (US), Eyeshields, Gloves
Regulatory Information
新产品
This item has
Choose from one of the most recent versions:
Already Own This Product?
Find documentation for the products that you have recently purchased in the Document Library.
Bioscience Horizons. Functional analysis of nematode nicotinic receptors
James Nicholas Sleigh
Bioscience Horizons, 3, 29-39 (2010)
Tse-Yu Wu et al.
Molecular pharmacology, 74(2), 466-475 (2008-05-07)
We studied allosteric potentiation of rat alpha3beta2 neuronal nicotinic acetylcholine receptors (nAChRs) by the anthelmintic compound morantel. Macroscopic currents evoked by acetylcholine (ACh) from nAChRs expressed in Xenopus laevis oocytes increase up to 8-fold in the presence of low concentrations
