Skip to Content
Merck
CN

P9260

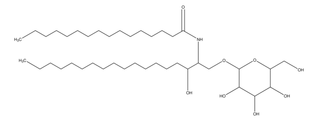
N-Palmitoyl-DL-dihydrogalactocerebroside

Synonym(s):

1-O-(β-D-Galactopyranosyl)-N-hexadecanoyl-DL-dihydrosphingosine

Sign In to View Organizational & Contract Pricing.

Select a Size

Change View

About This Item

Empirical Formula (Hill Notation):
C40H79NO8
CAS Number:
Molecular Weight:
702.06
UNSPSC Code:
12352211
PubChem Substance ID:
MDL number:
Technical Service
Need help? Our team of experienced scientists is here for you.
Let Us Assist

form

solid

shipped in

ambient

storage temp.

−20°C

SMILES string

CCCCCCCCCCCCCCCC(O)C(COC1OC(CO)C(O)C(O)C1O)NC(=O)CCCCCCCCCCCCCCC

InChI

1S/C40H79NO8/c1-3-5-7-9-11-13-15-17-19-21-23-25-27-29-34(43)33(32-48-40-39(47)38(46)37(45)35(31-42)49-40)41-36(44)30-28-26-24-22-20-18-16-14-12-10-8-6-4-2/h33-35,37-40,42-43,45-47H,3-32H2,1-2H3,(H,41,44)

InChI key

BLGKYYVFGMKTEZ-UHFFFAOYSA-N

Storage Class

11 - Combustible Solids

wgk

WGK 3

flash_point_f

Not applicable

flash_point_c

Not applicable

ppe

Eyeshields, Gloves, type N95 (US)

Regulatory Information

新产品

This item has


Choose from one of the most recent versions:

Certificates of Analysis (COA)

Lot/Batch Number

Don't see the Right Version?

If you require a particular version, you can look up a specific certificate by the Lot or Batch number.

Already Own This Product?

Find documentation for the products that you have recently purchased in the Document Library.

Visit the Document Library

Our team of scientists has experience in all areas of research including Life Science, Material Science, Chemical Synthesis, Chromatography, Analytical and many others.

Contact Technical Service