Skip to Content
Merck
CN

S4633

[Tyr1]-Somatostatin

≥97% (HPLC)

Synonym(s):

GH

Sign In to View Organizational & Contract Pricing.

Select a Size

Change View

About This Item

Empirical Formula (Hill Notation):
C82H108N18O20S2
CAS Number:
Molecular Weight:
1729.97
UNSPSC Code:
12352200
PubChem Substance ID:
MDL number:
Technical Service
Need help? Our team of experienced scientists is here for you.
Let Us Assist


assay

≥97% (HPLC)

UniProt accession no.

storage temp.

−20°C

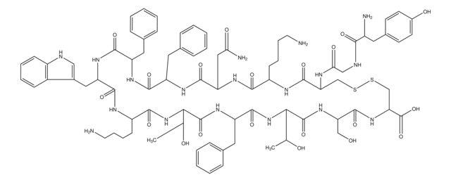
SMILES string

CC(O)C1NC(=O)C(CCCCN)NC(=O)C(Cc2c[nH]c3ccccc23)NC(=O)C(Cc4ccccc4)NC(=O)C(Cc5ccccc5)NC(=O)C(CC(N)=O)NC(=O)C(CCCCN)NC(=O)C(CSSCC(NC(=O)C(CO)NC(=O)C(NC(=O)C(Cc6ccccc6)NC1=O)C(C)O)C(O)=O)NC(=O)CNC(=O)C(N)Cc7ccc(O)cc7

InChI

1S/C82H108N18O20S2/c1-45(102)68-80(117)96-60(37-49-22-10-5-11-23-49)77(114)100-69(46(2)103)81(118)97-63(42-101)78(115)98-65(82(119)120)44-122-121-43-64(89-67(106)41-88-70(107)54(85)34-50-28-30-52(104)31-29-50)79(116)91-56(26-14-16-32-83)71(108)95-62(39-66(86)105)76(113)93-58(35-47-18-6-3-7-19-47)73(110)92-59(36-48-20-8-4-9-21-48)74(111)94-61(38-51-40-87-55-25-13-12-24-53(51)55)75(112)90-57(72(109)99-68)27-15-17-33-84/h3-13,18-25,28-31,40,45-46,54,56-65,68-69,87,101-104H,14-17,26-27,32-39,41-44,83-85H2,1-2H3,(H2,86,105)(H,88,107)(H,89,106)(H,90,112)(H,91,116)(H,92,110)(H,93,113)(H,94,111)(H,95,108)(H,96,117)(H,97,118)(H,98,115)(H,99,109)(H,100,114)(H,119,120)

InChI key

HTAVEOUQMYLKNB-UHFFFAOYSA-N

Gene Information

human ... SST(6750)



Storage Class

11 - Combustible Solids

wgk

WGK 3

flash_point_f

Not applicable

flash_point_c

Not applicable

ppe

Eyeshields, Gloves, type N95 (US)

Regulatory Information

新产品

This item has



Choose from one of the most recent versions:

Certificates of Analysis (COA)

Lot/Batch Number

Don't see the Right Version?

If you require a particular version, you can look up a specific certificate by the Lot or Batch number.

Already Own This Product?

Find documentation for the products that you have recently purchased in the Document Library.

Visit the Document Library



Ana I Álvarez-Mercado et al.
Transplantation, 103(7), 1349-1359 (2019-06-27)
We evaluated the potential dysfunction caused by changes in growth hormone (GH) levels after brain death (BD), and the effects of modulating GH through exogenous epidermal growth factor (EGF) in steatotic and nonsteatotic grafts. Steatotic and nonsteatotic grafts from non-BD
A S Tsang et al.
Australian veterinary journal, 95(9), 333-337 (2017-07-18)
To compare the effect of application of manuka honey with unique manuka factor (UMF) 5 or 20 with a generic multifloral honey on equine wound healing variables. Two full-thickness skin wounds (2.5 × 2.5 cm) were created on the metatarsus of both hindlimbs
Rong Zhang et al.
Animals : an open access journal from MDPI, 9(7) (2019-07-18)
We investigated the effects of different types of early feeding on rumen fermentation parameters and the bacterial community in calves. Fifty-four Holstein calves were assigned to three treatments and fed whole milk (M), pasteurized waste milk (WM), or milk replacer