Search Within
Product Category
Brand
Sustainability
Biological Source
Feature
Formula Weight
Manufacturer
Melting Point (°C)
Physical Form
Product Line
Purity
Agency
Format
Research Area
Quality Segment
Application
Organoleptic Class
Reference Material Type
Special Grade
Technique
Available for Sale
1139-30-6
Applied Filters:
Keyword:'1139-30-6'
Showing 1-2 of 2 results for "1139-30-6" within Products
All Photos(4)
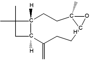
Synonym(s): β-Caryophyllene epoxide, (−)-Epoxycaryophyllene, (−)-Epoxydihydrocaryophyllene, (1R,4R,6R,10S)-9-Methylene-4,12,12-trimethyl-5-oxatricyclo[8.2.0.04,6]dodecane, trans-Caryophyllene oxide
Empirical Formula (Hill Notation): C15H24O
- CAS No.:
- 1139-30-6
- Molecular Weight:
- 220.35
- Beilstein No.:
- 148213
| Compare | Product No. | Description | SDS | Pricing | ||||
|---|---|---|---|---|---|---|---|---|
| W509647 | 95% | |||||||
| 22076 | ≥99.0% (sum of enantiomers, GC) | |||||||
| 91034 | analytical standard | |||||||
| W408588 | natural (US), ≥95%, FG | |||||||
| PHL82496 | phyproof® Reference Substance | |||||||
All Photos(1)
Caryophyllene oxide
- CAS No.:
- 1139-30-6
- Molecular Weight:
- 220.35
| Compare | Product No. | Description | Pricing | |||||
|---|---|---|---|---|---|---|---|---|
| ST9H93D8DAB9 | ||||||||
Page 1 of 1