Skip to Content
CN
EN
Products
Applications
Services
Resources
Support
Analytical Chemistry
Cell Culture & Analysis
Chemistry & Biochemicals
Clinical & Diagnostics
Filtration
Greener Alternative Products
Industrial Microbiology
Lab Automation
Labware
Materials Science
Molecular Biology & Functional Genomics
mAbs Development & Manufacturing
mRNA Development & Manufacturing
Pharma & Biopharma Manufacturing
Protein Biology
Water Purification
Analytical Chemistry
Cell Culture & Analysis
Chemistry & Synthesis
Clinical & Diagnostics
Environmental & Cannabis Testing
Food & Beverage Testing & Manufacturing
Genomics
Materials Science & Engineering
Microbiological Testing
mAbs Development & Manufacturing
mRNA Development & Manufacturing
Pharma & Biopharma Manufacturing
Protein Biology
Research & Disease Areas
Water Purification
Contract Manufacturing
Contract Testing
Custom Products
Digital Solutions for Life Science
IVD Development & Manufacturing
Product Services
Support
Documents
Learning Center
New
Web Training
User Guide for Millipore Website Consolidation
Ordering Information
Customer Support
After-Sales Support
Technical Support
Process Solution Support
Contact Us
Get Site Smart
FAQ
Quality & Regulatory
Calculators & Apps
Webinars
Back
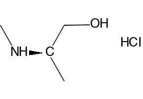
(R)-2-(Methylamino)propan-1-ol hydrochloride
CAS Number:
152230-64-3
Molecular Weight:
125.6
Products
Brand
Bide Pharmatech
Leyan / Shanghai Haohong Scientific Co.,Ltd
Purity
Filter Products
Showing 1-2 of 2
Compare
Product Number
Description
Pricing
LEYH9B0CB212
(R)-2-(Methylamino)propan-1-ol hydrochloride,
Expand
View Pricing
BDPH9C01F28A
(R)-2-(Methylamino)propan-1-ol hydrochloride,
Expand
View Pricing