跳转至内容
Merck
CN

PHL86284

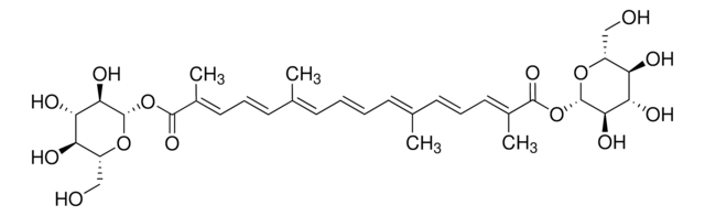
Crocin 4

phyproof® Reference Substance

别名:

trans-Crocetin diglucosyl ester, Dicrocin

登录 查看组织和合同定价。

选择尺寸


关于此项目

经验公式(希尔记法):
C32H44O14
化学文摘社编号:
分子量:
652.68
NACRES:
NA.24
UNSPSC Code:
41116107
技术服务
需要帮助?我们经验丰富的科学家团队随时乐意为您服务。
让我们为您提供帮助
技术服务
需要帮助?我们经验丰富的科学家团队随时乐意为您服务。
让我们为您提供帮助

InChI

1S/C32H44O14/c1-17(11-7-13-19(3)29(41)45-31-27(39)25(37)23(35)21(15-33)43-31)9-5-6-10-18(2)12-8-14-20(4)30(42)46-32-28(40)26(38)24(36)22(16-34)44-32/h5-14,21-28,31-40H,15-16H2,1-4H3/b6-5+,11-7+,12-8+,17-9+,18-10+,19-13+,20-14+/t21-,22-,23-,24-,25+,26+,27-,28-,31+,32+/m1/s1

InChI key

QBZWPZHDUZGTLS-IIDMIUPYSA-N

SMILES string

O=C(O[C@H]1[C@H](O)[C@@H](O)[C@H](O)[C@@H](CO)O1)/C(C)=C/C=C/C(C)=C/C=C/C=C(C)/C=C/C=C(C(O[C@H]2[C@H](O)[C@@H](O)[C@H](O)[C@@H](CO)O2)=O)\C

grade

primary reference standard

product line

phyproof® Reference Substance

assay

≥90.0% (HPLC)

manufacturer/tradename

PhytoLab

storage temp.

−20°C

General description

This Compound belongs to the class of carotenoids.
This substance is supplied with certified chromatographic purity. The exact value can be found on the certificate. Produced by PhytoLab GmbH & Co. KG

Legal Information

phyproof is a registered trademark of PhytoLab GmbH & Co. KG

存储类别

11 - Combustible Solids

wgk

WGK 3

flash_point_f

Not applicable

flash_point_c

Not applicable

法规信息

新产品
此项目有

历史批次信息供参考:

分析证书(COA)

Lot/Batch Number

没有发现合适的版本?

如果您需要特殊版本,可通过批号或批次号查找具体证书。

已有该产品?

在文件库中查找您最近购买产品的文档。

访问文档库

我们的科学家团队拥有各种研究领域经验,包括生命科学、材料科学、化学合成、色谱、分析及许多其他领域.

联系客户支持