Skip to Content
Merck
CN

457728

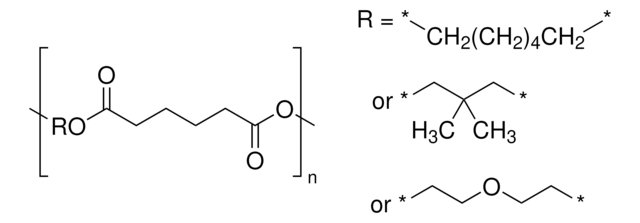
Poly[1,6-hexanediol/neopentyl glycol/di(ethylene glycol)-alt-adipic acid] diol

average Mn ~1,800

Sign In to View Organizational & Contract Pricing.

Select a Size

Change View

About This Item

CAS Number:
UNSPSC Code:
12162002
PubChem Substance ID:
MDL number:
Technical Service
Need help? Our team of experienced scientists is here for you.
Let Us Assist


mol wt

average Mn ~1,800

refractive index

n20/D 1.473 (lit.)

viscosity

7,500 cP(25 °C)(lit.)

bp

>350 °C (lit.)

mp

<−25 °C (lit.)

hydroxyl functionality

2.1

density

1.15 g/mL at 25 °C (lit.)

SMILES string

OCCO.CC(C)(CO)CO.OCCCCCCO.OC(=O)CCCCC(O)=O



Storage Class

12 - Non Combustible Liquids

wgk

WGK 3

flash_point_f

Not applicable

flash_point_c

Not applicable

ppe

Eyeshields, Gloves

Regulatory Information

新产品

This item has



Choose from one of the most recent versions:

Certificates of Analysis (COA)

Lot/Batch Number

Don't see the Right Version?

If you require a particular version, you can look up a specific certificate by the Lot or Batch number.

Already Own This Product?

Find documentation for the products that you have recently purchased in the Document Library.

Visit the Document Library