Skip to Content
Merck
CN

460222

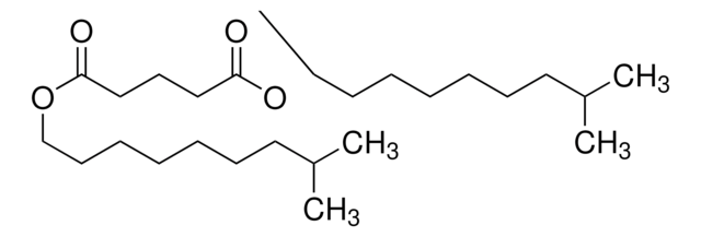
Diisodecyl glutarate

technical grade

Sign In to View Organizational & Contract Pricing.

Select a Size

Change View

About This Item

Linear Formula:
C10H21O2C(CH2)3CO2C10H21
CAS Number:
Molecular Weight:
412.65
UNSPSC Code:
12162002
EC Number:
249-818-1
MDL number:
Technical Service
Need help? Our team of experienced scientists is here for you.
Let Us Assist


grade

technical grade

refractive index

n20/D 1.449 (lit.)

bp

>260 °C (lit.)

solubility

hexane, toluene, ethanol and acetone: soluble, water and propylene glycol: insoluble

density

0.92 g/mL at 25 °C (lit.)

SMILES string

CC(C)CCCCCCCOC(=O)CCCC(=O)OCCCCCCCC(C)C

Application

Plasticizer


Regulatory Information

新产品

This item has



Choose from one of the most recent versions:

Certificates of Analysis (COA)

Lot/Batch Number

Don't see the Right Version?

If you require a particular version, you can look up a specific certificate by the Lot or Batch number.

Already Own This Product?

Find documentation for the products that you have recently purchased in the Document Library.

Visit the Document Library