Skip to Content
Merck
CN

480223

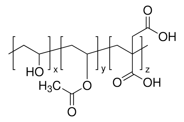
Poly(vinyl alcohol-co-vinyl acetate-co-itaconic acid)

Sign In to View Organizational & Contract Pricing.

Select a Size

Change View

About This Item

Linear Formula:
[CH2CH(OH)]x[CH2CH(O2CCH3)]y[CH2C(CO2H)(CH2CO2H)]Z
CAS Number:
UNSPSC Code:
12162002
MDL number:
Technical Service
Need help? Our team of experienced scientists is here for you.
Let Us Assist


mp

186-200 °C (lit.)

transition temp

Tg 79.9 °C



Regulatory Information

新产品

This item has



Choose from one of the most recent versions:

Certificates of Analysis (COA)

Lot/Batch Number

Don't see the Right Version?

If you require a particular version, you can look up a specific certificate by the Lot or Batch number.

Already Own This Product?

Find documentation for the products that you have recently purchased in the Document Library.

Visit the Document Library