Skip to Content
Merck
CN

498130

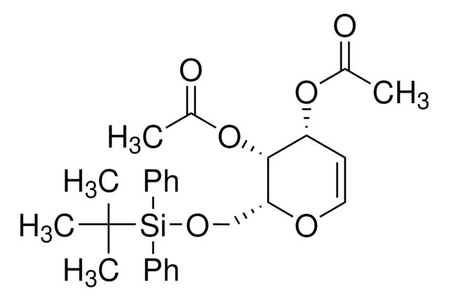
3,4-Di-O-acetyl-6-O-(tert-butyldiphenylsilyl)-D-galactal

97%

Sign In to View Organizational & Contract Pricing.

Select a Size

Change View

About This Item

Empirical Formula (Hill Notation):
C26H32O6Si
CAS Number:
Molecular Weight:
468.61
UNSPSC Code:
12352200
PubChem Substance ID:
MDL number:
Technical Service
Need help? Our team of experienced scientists is here for you.
Let Us Assist

assay

97%

optical activity

[α]22/D −4°, c = 1.1 in chloroform

contains

3-5 wt. % ethyl acetate, added to induce mobility of syrup

refractive index

n20/D 1.526 (lit.)

SMILES string

CC(=O)O[C@@H]1C=CO[C@H](CO[Si](c2ccccc2)(c3ccccc3)C(C)(C)C)[C@@H]1OC(C)=O

InChI

1S/C26H32O6Si/c1-19(27)31-23-16-17-29-24(25(23)32-20(2)28)18-30-33(26(3,4)5,21-12-8-6-9-13-21)22-14-10-7-11-15-22/h6-17,23-25H,18H2,1-5H3/t23-,24-,25-/m1/s1

InChI key

HGWFRQHLOUXHGQ-UBFVSLLYSA-N

Regulatory Information

新产品

This item has


Choose from one of the most recent versions:

Certificates of Analysis (COA)

Lot/Batch Number

Don't see the Right Version?

If you require a particular version, you can look up a specific certificate by the Lot or Batch number.

Already Own This Product?

Find documentation for the products that you have recently purchased in the Document Library.

Visit the Document Library

Our team of scientists has experience in all areas of research including Life Science, Material Science, Chemical Synthesis, Chromatography, Analytical and many others.

Contact Technical Service