Skip to Content
Merck
CN

527319

Sigma-Aldrich

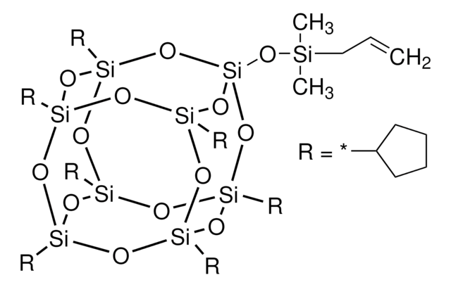
PSS-Allyldimethylsilyoxy-Heptacyclopentyl substituted

Synonym(s):

1-(Allyldimethylsilyloxy)-3,5,7,9,11,13,15-heptacyclopentylpentacyclo[9.5.1.13,9.15,15.17,13]octasiloxane, Allyldimethylsilyloxy-POSS®

Sign Into View Organizational & Contract Pricing

Select a Size


About This Item

Empirical Formula (Hill Notation):
C40H74O13Si9
CAS Number:
Molecular Weight:
1015.78
MDL number:
UNSPSC Code:
12162002
Technical Service
Need help? Our team of experienced scientists is here for you.
Let Us Assist
Technical Service
Need help? Our team of experienced scientists is here for you.
Let Us Assist

mp

>300 °C (lit.)

SMILES string

C[Si](C)(CC=C)O[Si]12O[Si]3(O[Si]4(O[Si](O1)(O[Si]5(O[Si](O2)(O[Si](O3)(O[Si](O4)(O5)C6CCCC6)C7CCCC7)C8CCCC8)C9CCCC9)C%10CCCC%10)C%11CCCC%11)C%12CCCC%12

Legal Information

POSS is a registered trademark of Hybrid Plastics, Inc.

Regulatory Information

新产品
This item has

Choose from one of the most recent versions:

Certificates of Analysis (COA)

Lot/Batch Number

Don't see the Right Version?

If you require a particular version, you can look up a specific certificate by the Lot or Batch number.

Already Own This Product?

Find documentation for the products that you have recently purchased in the Document Library.

Visit the Document Library

Our team of scientists has experience in all areas of research including Life Science, Material Science, Chemical Synthesis, Chromatography, Analytical and many others.

Contact Technical Service