Skip to Content
Merck
CN

572152

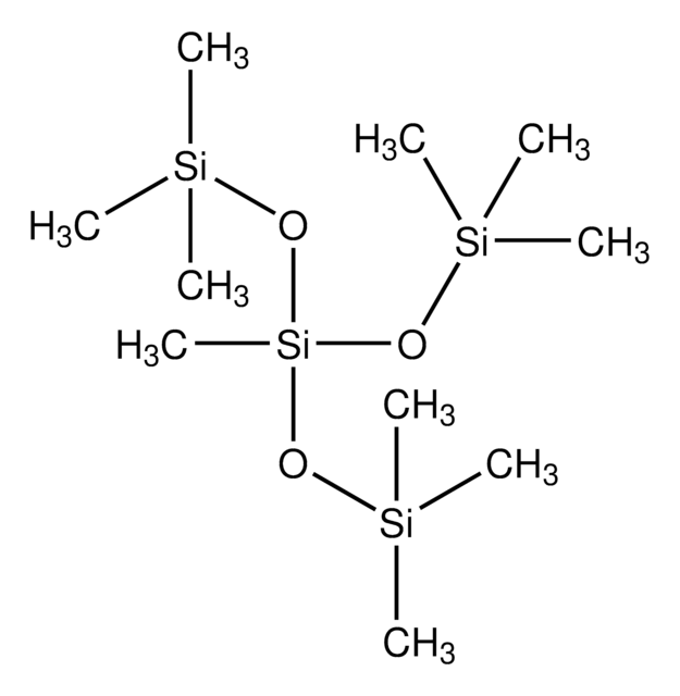
Methyl-tris(trimethylsiloxy)silane

572152, ≥99.9%

Sign In to View Organizational & Contract Pricing.

Select a Size

Change View

About This Item

Linear Formula:
[(CH3)3SiO]3SiCH3
CAS Number:
Molecular Weight:
310.69
EC Number:
241-867-7
Beilstein/REAXYS Number:
1776836
MDL number:
Technical Service
Need help? Our team of experienced scientists is here for you.
Let Us Assist


assay

≥99.9%

bp

70 °C/10 mmHg (lit.)

mp

-80 °C (lit.)

density

0.850 g/mL at 25 °C (lit.)

SMILES string

C[Si](C)(C)O[Si](C)(O[Si](C)(C)C)O[Si](C)(C)C

General description

Please inquire for quantity, pricing, and packaging options.




Choose from one of the most recent versions:

Certificates of Analysis (COA)

Lot/Batch Number

Don't see the Right Version?

If you require a particular version, you can look up a specific certificate by the Lot or Batch number.

Already Own This Product?

Find documentation for the products that you have recently purchased in the Document Library.

Visit the Document Library