Sign In to View Organizational & Contract Pricing.
About This Item
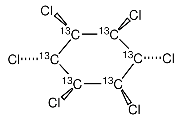
Linear Formula:
13C6H6Cl6
CAS Number:
Molecular Weight:
296.79
UNSPSC Code:
12352101
PubChem Substance ID:
MDL number:
isotopic purity
99 atom % 13C
mp
113-115 °C (lit.)
application(s)
agriculture
environmental
format
neat
mass shift
M+6
SMILES string
Cl[13C@@H]1[13C@@H](Cl)[13C@@H](Cl)[13C@H](Cl)[13C@@H](Cl)[13C@H]1Cl
InChI
1S/C6H6Cl6/c7-1-2(8)4(10)6(12)5(11)3(1)9/h1-6H/t1-,2-,3-,4+,5+,6+/i1+1,2+1,3+1,4+1,5+1,6+1
InChI key
JLYXXMFPNIAWKQ-BDHSFOLOSA-N
Packaging
This product may be available from bulk stock and can be packaged on demand. For information on pricing, availability and packaging, please contact Stable Isotopes Customer Service.
signalword
Danger
Hazard Classifications
Acute Tox. 3 Oral - Acute Tox. 4 Dermal - Acute Tox. 4 Inhalation - Aquatic Acute 1 - Aquatic Chronic 1 - Lact. - STOT RE 2
Storage Class
6.1C - Combustible acute toxic Cat.3 / toxic compounds or compounds which causing chronic effects
wgk
WGK 3
flash_point_f
Not applicable
flash_point_c
Not applicable
ppe
dust mask type N95 (US), Eyeshields, Faceshields, Gloves, type P2 (EN 143) respirator cartridges
Choose from one of the most recent versions:
Already Own This Product?
Find documentation for the products that you have recently purchased in the Document Library.


