Sign In to View Organizational & Contract Pricing.
Select a Size
Change View
About This Item
Empirical Formula (Hill Notation):
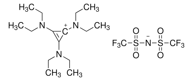
C17H30F6N4O4S2
CAS Number:
Molecular Weight:
532.56
UNSPSC Code:
12352100
PubChem Substance ID:
NACRES:
NA.22
assay
≥96.5% (HPLC), 97%
composition
carbon, 37.0-39.7% elemental analysis , nitrogen, 10.2-10.9% elemental analysis
refractive index
n20/D 1.460±0.001
SMILES string
FC(F)(F)S(=O)(=O)[N-]S(=O)(=O)C(F)(F)F.CCN(CC)[C+]1C(N(CC)CC)=C1N(CC)CC
InChI
1S/C15H30N3.C2F6NO4S2/c1-7-16(8-2)13-14(17(9-3)10-4)15(13)18(11-5)12-6;3-1(4,5)14(10,11)9-15(12,13)2(6,7)8/h7-12H2,1-6H3;/q+1;-1
InChI key
SWRHBXSDADDWGZ-UHFFFAOYSA-N
signalword
Warning
hcodes
Hazard Classifications
Eye Irrit. 2 - Skin Irrit. 2
Storage Class
10 - Combustible liquids
wgk
WGK 3
flash_point_f
Not applicable
flash_point_c
Not applicable
Regulatory Information
新产品
This item has
Choose from one of the most recent versions:
Already Own This Product?
Find documentation for the products that you have recently purchased in the Document Library.
