Skip to Content
Merck
CN

805718

Sigma-Aldrich

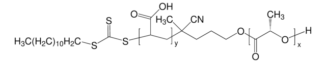
Poly(L-lactide-block-acrylic acid)

PLLA Mn 4,500, PAA Mn 18,000

Synonym(s):

PLLA-PAA, PLLA-b-PAA

Sign Into View Organizational & Contract Pricing

Select a Size


About This Item

Linear Formula:
C13H25S3(C3H4O2)yC6H9NO(C3H4O2)xH
UNSPSC Code:
12162002
NACRES:
NA.23
Technical Service
Need help? Our team of experienced scientists is here for you.
Let Us Assist
Technical Service
Need help? Our team of experienced scientists is here for you.
Let Us Assist

form

powder

mol wt

PAA Mn 18,000
PLLA Mn 4,500

PDI

<1.3

storage temp.

2-8°C

Looking for similar products? Visit Product Comparison Guide

Application

The PLLA-block-PAA is a biocompatible diblock copolymer which forms cylindrical micelles. The PLLA is hydrophobic and a degradable block, and the PAA is hydrophilic. The diblock polymer can be used to form nanoparticles and micelles or scaffolds.

Storage Class Code

11 - Combustible Solids

WGK

WGK 3

Flash Point(F)

Not applicable

Flash Point(C)

Not applicable

Regulatory Information

新产品
This item has

Choose from one of the most recent versions:

Certificates of Analysis (COA)

Lot/Batch Number

It looks like we've run into a problem, but you can still download Certificates of Analysis from our Documents section.

If you need assistance, please contact Customer Support

Already Own This Product?

Find documentation for the products that you have recently purchased in the Document Library.

Visit the Document Library

Hyun Jung Jung et al.
Artificial organs, 32(12), 981-989 (2009-01-10)
Interactions between cell and polymer surface have great implications in tissue engineering. In this study, chondrocyte proliferation and matrix production were examined using porous poly(L-lactide) (PLLA) scaffolds that have different surface characteristics. PLLA scaffolds were prepared using a gas-foaming method
Nikos Petzetakis et al.
ACS nano, 7(2), 1120-1128 (2013-02-09)
The spontaneous one-step synthesis of hollow nanocages and nanotubes from spherical and cylindrical micelles based on poly(acrylic acid)-b-polylactide (P(AA)-b-P(LA)) block copolymers (BCPs) has been achieved. This structural reorganization, which occurs simply upon drying of the samples, was elucidated by transmission

Articles

The development of drugs that target specific locations within the human body remains one of the greatest challenges in biomedicine today.

Our team of scientists has experience in all areas of research including Life Science, Material Science, Chemical Synthesis, Chromatography, Analytical and many others.

Contact Technical Service