Skip to Content
Merck
CN

901315

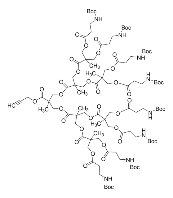
Polyester bis-MPA dendron 8 NHBoc, 1 acetylene (core)

generation 3

Synonym(s):

Bis-MPA dendron, PFd-G3-Acetylene-NH-BOC

Sign In to View Organizational & Contract Pricing.

Select a Size


About This Item

Empirical Formula (Hill Notation):
C102H164N8O46
Molecular Weight:
2238.42
NACRES:
NA.23
UNSPSC Code:
12162002
Technical Service
Need help? Our team of experienced scientists is here for you.
Let Us Assist
Technical Service
Need help? Our team of experienced scientists is here for you.
Let Us Assist

form

crystals

mol wt

generation 3

no. Surface Groups

8

functional group

(Alkyne(core))

storage temp.

−20°C

General description

  • Polymer architecture: Dendron
  • End Group Functionality: Boc-protected amine
  • Boc : tert-Butyloxycarbonyl
  • Bis-MPA : 2,2-Bis(hydroxymethyl)propionic acid

Application

Bis-MPA (or 2,2-Bis(methylol)propionic acid) is an aliphatic, pro-chiral molecule comprised of two hydroxyls and one carboxylic group that has been used in the synthesis of many different types of polymers. Dendrons synthesized from bis-MPA are biodegradable and have low cytotoxicity, making them well suited for use in biological research applications. These materials have been used in many applications such as signal amplification in bioassays and in drug delivery applications. After Boc deprotection, amine-functionalized dendrons can be readily used in EDC or DCC coupling reactions with carbonyl-containing compounds to yield highly functionalized materials for a variety of biomedical applications. Additionally, the alkyne-core can be readily conjugates using either copper(I)-catalyzed alkyne-azide cycloaddition (CuAAC) or strain-promoted alkyne-azide cycloaddition (SPAAC).

Storage Class

11 - Combustible Solids

wgk

WGK 3

flash_point_f

Not applicable

flash_point_c

Not applicable

Regulatory Information

新产品
This item has

Choose from one of the most recent versions:

Certificates of Analysis (COA)

Lot/Batch Number

Don't see the Right Version?

If you require a particular version, you can look up a specific certificate by the Lot or Batch number.

Already Own This Product?

Find documentation for the products that you have recently purchased in the Document Library.

Visit the Document Library

Anna Carlmark et al.
Chemical Society reviews, 42(13), 5858-5879 (2013-05-01)
Dendritic polymers are highly branched, globular architectures with multiple representations of functional groups. These nanoscale organic frameworks continue to fascinate researchers worldwide and are today under intensive investigation in application-driven research. A large number of potential application areas have been

Our team of scientists has experience in all areas of research including Life Science, Material Science, Chemical Synthesis, Chromatography, Analytical and many others.

Contact Technical Service