Skip to Content
Merck
CN

901408

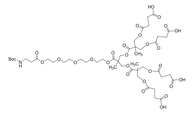
Polyester bis-MPA dendron

no. Surface Groups 4, carboxyl, 1 NHBoc (core), generation 2

Synonym(s):

PFd-G2-BocNH-COOH, bis-MPA dendron

Sign In to View Organizational & Contract Pricing.

Select a Size


About This Item

Empirical Formula (Hill Notation):
C47H71NO29
Molecular Weight:
1114.06
NACRES:
NA.23
UNSPSC Code:
12162002
Technical Service
Need help? Our team of experienced scientists is here for you.
Let Us Assist
Technical Service
Need help? Our team of experienced scientists is here for you.
Let Us Assist

form

solid

mol wt

generation 2

no. Surface Groups

4

color

white to off-white

storage temp.

−20°C

General description

  • Polymer architecture: Dendron
  • Generation: 2
  • Core functional group: Boc-protected amine
  • End group functionality: Carboxylic acid
  • No. surface groups: 4
  • Calculated mol. wt.: 1114.06 g/mol
  • Boc: tert-Butyloxycarbonyl
  • bis-MPA: 2,2-Bis(hydroxymethyl)propionic acid
Polyester bis-MPA dendron (4 carboxyl, 1 NHBoc (core), generation 2), a high generation dendron, is synthesized by using anhydride activated bis-MPA monomers via divergent growth. It has a large and exact number of reactive groups and has dual functionalization capacity that makes it useful as a high-value scaffold.

Application

Bis-MPA (or 2,2-bis(methylol)propionic acid) is an aliphatic, pro-chiral molecule comprised of two hydroxyls and one carboxylic group that has been used in the synthesis of many different types of polymers. Dendrons synthesized from bis-MPA are biodegradable and have low cytotoxicity, making them well suited for use in biological research applications. These materials have been used in many applications such as signal amplification in bioassays and in drug delivery applications. Both the carboxylic acid-functionalized dendrimers and amine-functionalized (after Boc deprotection) core can be readily used in EDC or DCC coupling reactions with amine or carbonyl-containing compounds, respectively, to yield highly functionalized materials for a variety of biomedical applications.

Storage Class

11 - Combustible Solids

wgk

WGK 3

flash_point_f

Not applicable

flash_point_c

Not applicable

Regulatory Information

新产品
This item has

Choose from one of the most recent versions:

Certificates of Analysis (COA)

Lot/Batch Number

It looks like we've run into a problem, but you can still download Certificates of Analysis from our Documents section.

If you need assistance, please contact Customer Support

Already Own This Product?

Find documentation for the products that you have recently purchased in the Document Library.

Visit the Document Library

Rapid Synthesis of Functionalized High-Generation Polyester Dendrimers via Strain-Promoted Alkyne-Azide Cycloaddition
McNelles SA and Adronov Al
Macromolecules, 50(20), 7993-8001 (2017)
Fluoride-promoted esterification (FPE) chemistry: A robust route to Bis-MPA dendrons and their postfunctionalization
Stenstrom P, et al.
Molecules (Basel), 21(3), 366-366 (2016)
Anna Carlmark et al.
Chemical Society reviews, 42(13), 5858-5879 (2013-05-01)
Dendritic polymers are highly branched, globular architectures with multiple representations of functional groups. These nanoscale organic frameworks continue to fascinate researchers worldwide and are today under intensive investigation in application-driven research. A large number of potential application areas have been

Articles

Dendritic molecules' biomedical applications, particularly bis-MPA dendritic scaffolds, hold promise for drug delivery.

Dendrimers, polymer nanostructures, are synthesized for specific purposes by manipulating critical nanoscale design parameters (CNDPs).

Our team of scientists has experience in all areas of research including Life Science, Material Science, Chemical Synthesis, Chromatography, Analytical and many others.

Contact Technical Service