943118
Hyaluronic acid methacrylate sodium salt

Low MW
Synonym(s):
HAMA, methacrylated hyaluronic acid
biological source
(Streptococcus zooepidemicus)
Quality Level
form
powder or chunks (or fibers)
mol wt
20-40 kDa (starting material)
color
white to faint yellow-brown
application(s)
3D bioprinting
advanced drug delivery
tissue engineering
(hydrogels)
storage temp.
2-8°C
General description
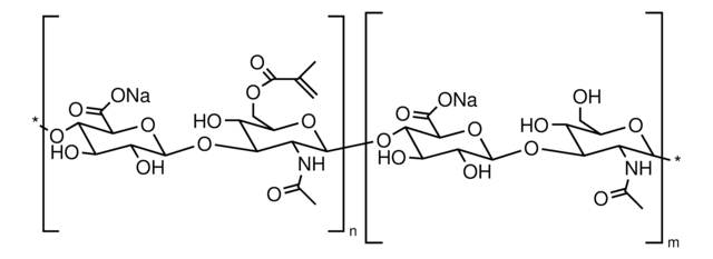
Hyaluronic Acid methacrylate (HAMA) is an advanced biomaterial created by modifying natural hyaluronic acid with methacrylate groups, enabling photopolymerization capabilities. Hyaluronic acid (HA) is a linear polysaccharide composed of alternating D-glucuronic acid and N-acetyl-D-glucosamine. It occurs naturally in connective tissues, skin, cartilage, synovial fluid, and extracellular matrices throughout the body. The addition of methacrylate groups enables HAMA to be photo-crosslinkable, facilitating the formation of stable, crosslinked hydrogels. This biomaterial combines the inherent biocompatibility and bioactivity of hyaluronic acid with improved mechanical properties, making it well-suited for a wide range of applications in tissue engineering, 3D bioprinting, drug discovery, and medical devices.
Application
Tissue Engineering: Serves as a scaffold for cell attachment and proliferation, promoting the regeneration of various tissues, including cartilage, skin, and connective tissues, leveraging its ability to mimic the natural extracellular environment.
- 3D Bioprinting: Enables the precise fabrication of complex tissue structures, allowing for accurate cell placement and interaction.
- Drug Delivery: Facilitates the development of drug delivery systems and in vitro models for testing drug efficacy and safety.
- Medical Devices: Used in the production of hydrogels and coatings that enhance biocompatibility and functionality of medical implants and devices.
Features and Benefits
- Photocrosslinkable Chemistry: The methacrylate modification makes HAMA photo-crosslinkable, allowing for the creation of stable, crosslinked hydrogels with tunable mechanical properties.
- Enhanced Biocompatibility: Combines natural biocompatibility of hyaluronic acid with enhanced mechanical properties, supporting optimal cell-material interactions.
- Superior Water Retention: Excellent water retention capabilities create a hydrated environment that mimics natural tissues and supports cellular functions.
- Optimal Cell Environment: Provides an ideal environment for cell growth and differentiation, promoting tissue formation and regeneration.
- High Batch-to-Batch Consistency: R&D developed and tested for high batch-to-batch consistency with highly consistent starting materials, ensuring reproducible results for critical research and clinical applications.
Regulatory Information
新产品
This item has
Choose from one of the most recent versions:
Already Own This Product?
Find documentation for the products that you have recently purchased in the Document Library.
Our team of scientists has experience in all areas of research including Life Science, Material Science, Chemical Synthesis, Chromatography, Analytical and many others.
Contact Technical Service