Skip to Content
Merck
CN

JKA8016

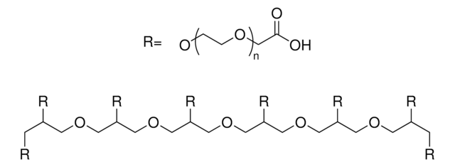
8arm-PEG10K-COOH, hexaglycerol core

average Mn 10,000

Synonym(s):

8arm-PEG-COOH, hexaglycerol core, 8arm-PEG-COOH

Sign In to View Organizational & Contract Pricing.

Select a Size


About This Item

Linear Formula:
R(O(CH2CH2O)nCH2COOH)8
NACRES:
NA.23
UNSPSC Code:
12162002
Technical Service
Need help? Our team of experienced scientists is here for you.
Let Us Assist
Technical Service
Need help? Our team of experienced scientists is here for you.
Let Us Assist

form

solid

mol wt

average Mn 10,000

reaction suitability

reactivity: amine reactive

polymer architecture

shape: 8-arm
functionality: homofunctional

storage temp.

−20°C

General description

8arm PEG Carboxyl. Crosslinks into hydrogels. Carboxyl group binds amino or other acid reactive chemical groups.

Application

Applications may include: bioconjugation, drug delivery, PEG hydrogel, crosslinker, and surface functionalization

Legal Information

Product of JenKem Technology

Storage Class

11 - Combustible Solids

wgk

WGK 3

flash_point_f

Not applicable

flash_point_c

Not applicable

Regulatory Information

新产品
This item has

Choose from one of the most recent versions:

Certificates of Analysis (COA)

Lot/Batch Number

It looks like we've run into a problem, but you can still download Certificates of Analysis from our Documents section.

If you need assistance, please contact Customer Support

Already Own This Product?

Find documentation for the products that you have recently purchased in the Document Library.

Visit the Document Library

Articles

Immune system defends against disease by hydrolyzing foreign molecules; proteases, nucleases, liver, and kidneys are involved.

Our team of scientists has experience in all areas of research including Life Science, Material Science, Chemical Synthesis, Chromatography, Analytical and many others.

Contact Technical Service