Skip to Content
Merck
CN

U8751

Sigma-Aldrich

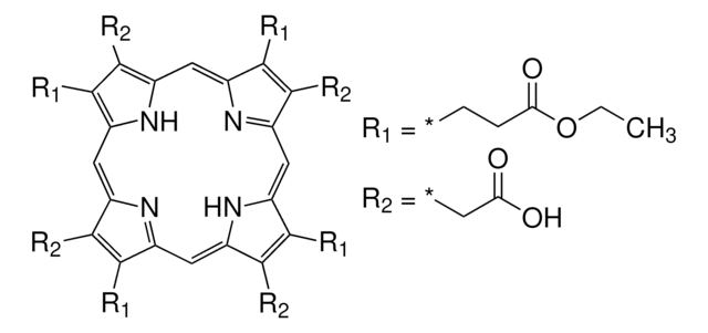
Uroporphyrin I ethyl ester from bovine porphyric urine

Synonym(s):

21H,23H-Porphine-2,7,12,17-tetrapropanoic acid, 3,8,13,18-tetrakis(2-ethoxy-2-oxoethyl)-, tetraethyl ester

Sign Into View Organizational & Contract Pricing

Select a Size


About This Item

CAS Number:
MDL number:
UNSPSC Code:
12352300
PubChem Substance ID:
NACRES:
NA.22
Technical Service
Need help? Our team of experienced scientists is here for you.
Let Us Assist
Technical Service
Need help? Our team of experienced scientists is here for you.
Let Us Assist

reaction suitability

core: porphyrin
reagent type: catalyst

storage temp.

−20°C

SMILES string

CCOC(=O)CCc1c(CC(=O)OCC)c2cc3[nH]c(cc4nc(cc5[nH]c(cc1n2)c(CC(=O)OCC)c5CCC(=O)OCC)c(CC(=O)OCC)c4CCC(=O)OCC)c(CC(=O)OCC)c3CCC(=O)OCC

InChI

1S/C48H54N4O16/c1-5-65-45(61)13-9-25-29(17-41(53)54)37-22-34-27(11-15-47(63)67-7-3)31(19-43(57)58)39(51-34)24-36-28(12-16-48(64)68-8-4)32(20-44(59)60)40(52-36)23-35-26(10-14-46(62)66-6-2)30(18-42(55)56)38(50-35)21-33(25)49-37/h21-24,49,52H,5-20H2,1-4H3,(H,53,54)(H,55,56)(H,57,58)(H,59,60)/b33-21-,34-22-,35-23-,36-24-,37-22-,38-21-,39-24-,40-23-

InChI key

HSSRGIMBJBMGGR-GOJGWFAPSA-N

Application

Reactant for tetramization of ethyl 3-(4-ethocycarbonylmethyl-1H-pyrrol-3-yl)propionate with formaldehyde

Storage Class Code

11 - Combustible Solids

WGK

WGK 3

Flash Point(F)

Not applicable

Flash Point(C)

Not applicable

Personal Protective Equipment

dust mask type N95 (US), Eyeshields, Gloves

Regulatory Information

新产品
This item has

Choose from one of the most recent versions:

Certificates of Analysis (COA)

Lot/Batch Number

Don't see the Right Version?

If you require a particular version, you can look up a specific certificate by the Lot or Batch number.

Already Own This Product?

Find documentation for the products that you have recently purchased in the Document Library.

Visit the Document Library

Our team of scientists has experience in all areas of research including Life Science, Material Science, Chemical Synthesis, Chromatography, Analytical and many others.

Contact Technical Service