Select a Size
About This Item
Product Name
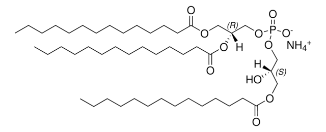
14:0 Hemi BMP (S,R), sn-(3-myristoyl-2-hydroxy)-glycerol-1-phospho-sn-3′-(1′,2′-dimyristoyl)-glycerol (ammonium salt), chloroform
SMILES string
[H][C@@](COP(OC[C@@]([H])(O)COC(CCCCCCCCCCCCC)=O)([O-])=O)(OC(CCCCCCCCCCCCC)=O)COC(CCCCCCCCCCCCC)=O.[NH4+]
assay
>99% (TLC)
form
liquid
packaging
pkg of 1 × 1 mL (857132C-5mg)
manufacturer/tradename
Avanti Research™ - A Croda Brand 857132C
concentration
5 mg/mL (857132C-5mg)
lipid type
cardiolipins
phospholipids
shipped in
dry ice
storage temp.
−20°C
Looking for similar products? Visit Product Comparison Guide
General description
Application
Biochem/physiol Actions
Packaging
Legal Information
signalword
Danger
Hazard Classifications
Acute Tox. 3 Inhalation - Acute Tox. 4 Oral - Carc. 2 - Eye Irrit. 2 - Repr. 2 - Skin Irrit. 2 - STOT RE 1 - STOT SE 3
target_organs
Central nervous system
Storage Class
6.1D - Non-combustible acute toxic Cat.3 / toxic hazardous materials or hazardous materials causing chronic effects
wgk
WGK 3
flash_point_f
does not flash
flash_point_c
does not flash
Regulatory Information
Choose from one of the most recent versions:
Already Own This Product?
Find documentation for the products that you have recently purchased in the Document Library.
Our team of scientists has experience in all areas of research including Life Science, Material Science, Chemical Synthesis, Chromatography, Analytical and many others.
Contact Technical Service
