Skip to Content
Merck
CN

858140P

Avanti

13:0 Lyso PS

Avanti Research - A Croda Brand

Synonym(s):

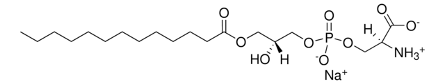
1-tridecanoyl-sn-glycero-3-phospho-L-serine (sodium salt); 1-tridecanoyl-2-hydroxy-sn-glycero-3-phospho-L-serine (sodium salt); PS(13:0/0:0); 110722

Sign Into View Organizational & Contract Pricing

Select a Size


About This Item

Empirical Formula (Hill Notation):
C19H37NNaO9P
CAS Number:
Molecular Weight:
477.46
UNSPSC Code:
51191904
NACRES:
NA.25
Technical Service
Need help? Our team of experienced scientists is here for you.
Let Us Assist
Technical Service
Need help? Our team of experienced scientists is here for you.
Let Us Assist

Product Name

13:0 Lyso PS, 1-tridecanoyl-sn-glycero-3-phospho-L-serine (sodium salt), powder

Assay

99% (LPS; may contain up to 15% of the 2-LPS isomer, TLC)

form

powder

packaging

pkg of 1 × 1 mg (858140P-1mg)

manufacturer/tradename

Avanti Research - A Croda Brand 858140P

lipid type

cardiolipins
phospholipids

shipped in

dry ice

storage temp.

−20°C

SMILES string

O[C@](COP([O-])(OC[C@](C([O-])=O)([H])[NH3+])=O)([H])COC(CCCCCCCCCCCC)=O.[Na+]

InChI

1S/C19H38NO9P.Na/c1-2-3-4-5-6-7-8-9-10-11-12-18(22)27-13-16(21)14-28-30(25,26)29-15-17(20)19(23)24;/h16-17,21H,2-15,20H2,1H3,(H,23,24)(H,25,26);/q;+1/p-1/t16-,17+;/m1./s1

InChI key

BRVABNHOEIJCON-PPPUBMIESA-M

Application

13:0 Lyso PS has been used as an internal standard for lipid extraction using electrophoresis. It has also been used as a standard to optimize the conditions for the synthesis, purification and mass spectrometric characterization of stable isotope-labeled amadori-glycated phospholipids.

Packaging

5 mL Amber Glass Screw Cap Vial (858140P-1mg)

Legal Information

Avanti Research is a trademark of Avanti Polar Lipids, LLC

Storage Class Code

11 - Combustible Solids

WGK

WGK 3


Choose from one of the most recent versions:

Certificates of Analysis (COA)

Lot/Batch Number

It looks like we've run into a problem, but you can still download Certificates of Analysis from our Documents section.

If you need assistance, please contact Customer Support

Already Own This Product?

Find documentation for the products that you have recently purchased in the Document Library.

Visit the Document Library

Nicolas Christinat et al.
Journal of proteome research, 16(8), 2947-2953 (2017-06-27)
Lipoproteins are responsible for the transport of lipids and other nutrients in the circulation and therefore play an important role in lipid metabolism and dyslipidemia. They have also been linked to multiple metabolic disorders including cardiovascular disease, and thus understanding
Xiaobo He et al.
ACS omega, 3(11), 15725-15733 (2018-12-12)
Nonenzymatic glycation of lipids plays an important role in several physiological and pathological processes, such as normal aging and complications of diabetes mellitus. To develop liquid chromatography coupled with mass spectrometric (LC-MS) methods for accurate analysis of Amadori compound-glycated lipids

Our team of scientists has experience in all areas of research including Life Science, Material Science, Chemical Synthesis, Chromatography, Analytical and many others.

Contact Technical Service